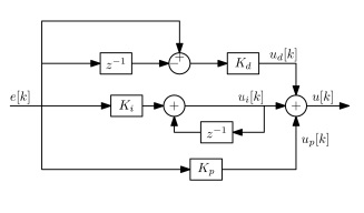
Quindi la sua fdt nel dominio z è del tipo:

Metodo di Eulero pone da Laplace a Z:
dove
è il periodo di campionamento.C'è questa domanda alla quale non riuscirei a rispondere:
Mostrare che in bassa frequenza il PID discreto è approssimabile al caso continuo.
Mi viene da dire che è dovuto al fatto che c'è minore distorsione in bassa frequenza del valore delle pulsazioni durante la trasformazione dal caso continuo a quello discreto. Si può dimostrare che se avevamo uno zero nel PID continuo alla pulsazione
allora sarà legato a
corrispondente dopo la trasformazione nel modo: 
che appunto per pulsazioni piccole è approssimabile a una relazione lineare ma non so se è questo quello che chiedeva.
Io comunque mi ricordo da vari grafici tipo matlab che la differenza tra il caso discreto è continuo si faceva notare soprattutto in alta frequenza ma riguardava la fase più che altro.

Elettrotecnica e non solo (admin)
Un gatto tra gli elettroni (IsidoroKZ)
Esperienza e simulazioni (g.schgor)
Moleskine di un idraulico (RenzoDF)
Il Blog di ElectroYou (webmaster)
Idee microcontrollate (TardoFreak)
PICcoli grandi PICMicro (Paolino)
Il blog elettrico di carloc (carloc)
DirtEYblooog (dirtydeeds)
Di tutto... un po' (jordan20)
AK47 (lillo)
Esperienze elettroniche (marco438)
Telecomunicazioni musicali (clavicordo)
Automazione ed Elettronica (gustavo)
Direttive per la sicurezza (ErnestoCappelletti)
EYnfo dall'Alaska (mir)
Apriamo il quadro! (attilio)
H7-25 (asdf)
Passione Elettrica (massimob)
Elettroni a spasso (guidob)
Bloguerra (guerra)
