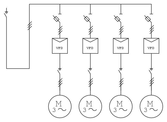
devo progettare la parte elettrica di un gruppo di pompaggio (4 pompe) dove il cliente ha fatto delle richieste talmente assurde che manco fossimo in zona Atex
Una delle richieste è che, oltre al sezionatore generale bloccoporta del quadro con maniglia giallorossa per arresto d'emergenza del gruppo (nostro standard), devono esserci anche dei sezionatori boxati lucchettabili sulla linea di ogni pompa al di fuori del quadro. Stiamo parlando di un tratto quadro-pompa di mezzo metro
Il mio dubbio è: questi sezionatori per singola pompa, devono avere maniglia nera o giallo-rossa?

Elettrotecnica e non solo (admin)
Un gatto tra gli elettroni (IsidoroKZ)
Esperienza e simulazioni (g.schgor)
Moleskine di un idraulico (RenzoDF)
Il Blog di ElectroYou (webmaster)
Idee microcontrollate (TardoFreak)
PICcoli grandi PICMicro (Paolino)
Il blog elettrico di carloc (carloc)
DirtEYblooog (dirtydeeds)
Di tutto... un po' (jordan20)
AK47 (lillo)
Esperienze elettroniche (marco438)
Telecomunicazioni musicali (clavicordo)
Automazione ed Elettronica (gustavo)
Direttive per la sicurezza (ErnestoCappelletti)
EYnfo dall'Alaska (mir)
Apriamo il quadro! (attilio)
H7-25 (asdf)
Passione Elettrica (massimob)
Elettroni a spasso (guidob)
Bloguerra (guerra)






