Esercizio
Un cubetto di ghiaccio di 150 g alla temperatura di 0 C e’ gettato inun recipiente che contiene 300 g di acqua alla temperature di 50 C.
Dato il calore latente di fusione del ghiaccio di cl = 80cal/g, trovare la temperatura finale.
Soluzione
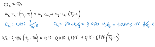
|Qassorbito, ghiaccio| = |Qceduto, acqua|
mghiaccio cl + mghiaccio c (tfin – t0) = |macqua c (tfin – tini)|
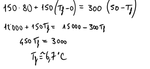
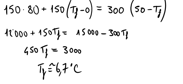
mghiaccio cl + mghiaccio c (tfin – t0) = macqua c (tini – tfin) 150x80+150x1x(tfin –0)=300x1x(50–tfin)=6.60C
ma perché considera il calore specifico 1?
calore e transizioni
Moderatori:
IsidoroKZ,
PietroBaima,
Ianero
4 messaggi
• Pagina 1 di 1
0
voti
1
voti
Ciao carissima,
quanto tempo!
Secondo me sta lavorando tutto in calorie e grammi anziché usare le unità del sistema internazionale, ovvero Joule e kg. Il calore specifico dell'acqua, usando calorie e grammi è proprio 1 cal/(g*K).
Poco male, tanto basta che sei coerente a sinistra e a destra.
Però, io porterei tutto in unità del sistema internazionale. Il risultato non dovrebbe cambiare:
Nota inoltre che usare gradi Kelvin o centigradi non cambia nulla in quanto si tratta solo di delta (differenze) fra gradi; e la spaziatura di 1 grado K è uguale alla spaziatura di 1 grado °C. Diverso sarebbe se usassi i gradi Fahrenheit, per i quali stanno 180 °F in 100 °C.
quanto tempo!
Secondo me sta lavorando tutto in calorie e grammi anziché usare le unità del sistema internazionale, ovvero Joule e kg. Il calore specifico dell'acqua, usando calorie e grammi è proprio 1 cal/(g*K).
Poco male, tanto basta che sei coerente a sinistra e a destra.
Però, io porterei tutto in unità del sistema internazionale. Il risultato non dovrebbe cambiare:
Nota inoltre che usare gradi Kelvin o centigradi non cambia nulla in quanto si tratta solo di delta (differenze) fra gradi; e la spaziatura di 1 grado K è uguale alla spaziatura di 1 grado °C. Diverso sarebbe se usassi i gradi Fahrenheit, per i quali stanno 180 °F in 100 °C.
4 messaggi
• Pagina 1 di 1
Chi c’è in linea
Visitano il forum: Nessuno e 16 ospiti

Elettrotecnica e non solo (admin)
Un gatto tra gli elettroni (IsidoroKZ)
Esperienza e simulazioni (g.schgor)
Moleskine di un idraulico (RenzoDF)
Il Blog di ElectroYou (webmaster)
Idee microcontrollate (TardoFreak)
PICcoli grandi PICMicro (Paolino)
Il blog elettrico di carloc (carloc)
DirtEYblooog (dirtydeeds)
Di tutto... un po' (jordan20)
AK47 (lillo)
Esperienze elettroniche (marco438)
Telecomunicazioni musicali (clavicordo)
Automazione ed Elettronica (gustavo)
Direttive per la sicurezza (ErnestoCappelletti)
EYnfo dall'Alaska (mir)
Apriamo il quadro! (attilio)
H7-25 (asdf)
Passione Elettrica (massimob)
Elettroni a spasso (guidob)
Bloguerra (guerra)


