Due cubetti di ghiaccio, ciascuno di massa 10 g, vengono lasciati cadere in un bicchiere di capacita' termica trascurabile, contenente 200 cm3 di acqua e succo d'arancia alla temperatura iniziale di 25 °C. Se il ghiaccio e' stato estratto da un congelatore a -15 C, quale e' la temperatura finale della bibita? Si assegni al ghiaccio il calore specifico di 0.5 cal/g °C e il calore latente di fusione di 80 cal/g. La bibita ha lo stesso calore specifico e densita' dell'acqua.
R. 14.8 °C
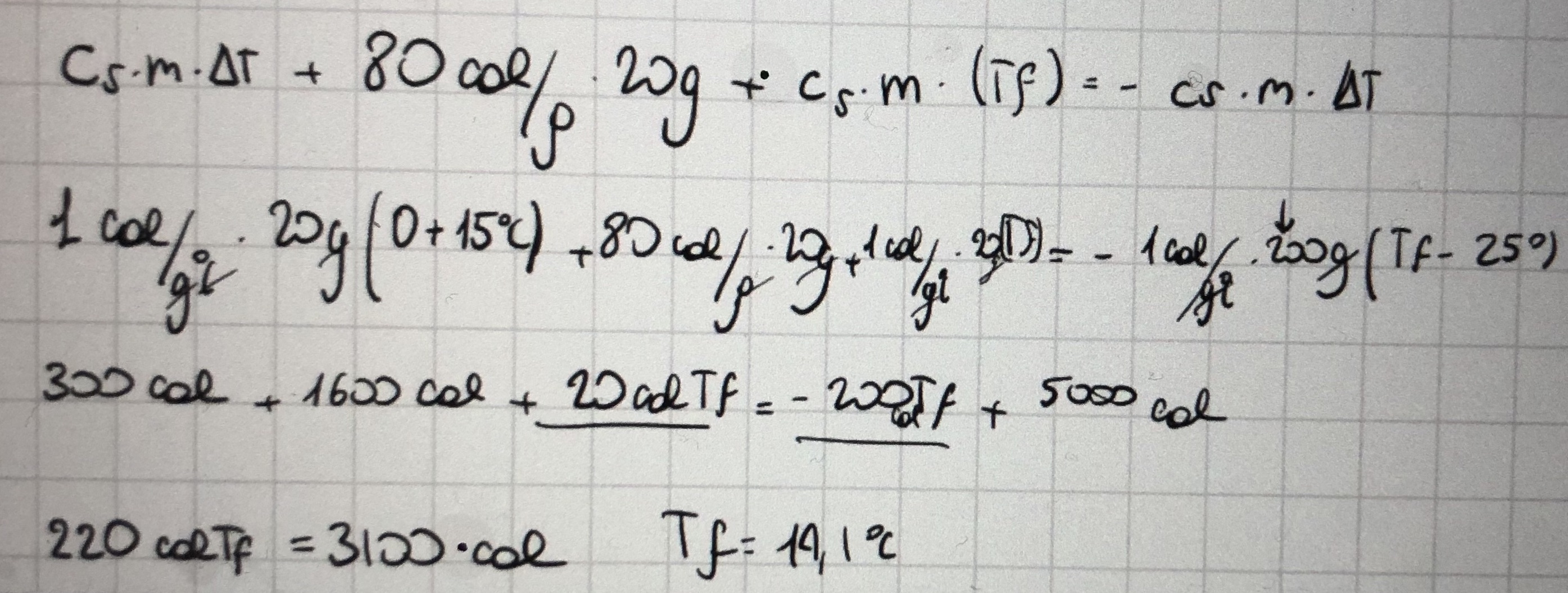
Non so se sia errato il risultato però a me viene 14,1°C
a sinistra ho considerato calore del ghiaccio quando passa da 15 a 0°C + calore latente di fusione + il passaggio da 0°C a Tf
a destra: - calore specifico della bibita x massa x variazione T
Vi ringrazio in anticipo
calore e transizioni
Moderatori:
IsidoroKZ,
PietroBaima,
Ianero
4 messaggi
• Pagina 1 di 1
0
voti
1
voti
Mary898 ha scritto:a destra: - calore specifico della bibita x massa x variazione T
A me torna giusto 14,77 °C.
Ovviamente come "bibita" devi intendere i 200 grammi di partenza, ma non pare che l'errore stia lì.
0
voti
sisi avevo considerato 200g...ho anche riprovato a fare i calcoli ma niente
4 messaggi
• Pagina 1 di 1
Chi c’è in linea
Visitano il forum: Nessuno e 16 ospiti

Elettrotecnica e non solo (admin)
Un gatto tra gli elettroni (IsidoroKZ)
Esperienza e simulazioni (g.schgor)
Moleskine di un idraulico (RenzoDF)
Il Blog di ElectroYou (webmaster)
Idee microcontrollate (TardoFreak)
PICcoli grandi PICMicro (Paolino)
Il blog elettrico di carloc (carloc)
DirtEYblooog (dirtydeeds)
Di tutto... un po' (jordan20)
AK47 (lillo)
Esperienze elettroniche (marco438)
Telecomunicazioni musicali (clavicordo)
Automazione ed Elettronica (gustavo)
Direttive per la sicurezza (ErnestoCappelletti)
EYnfo dall'Alaska (mir)
Apriamo il quadro! (attilio)
H7-25 (asdf)
Passione Elettrica (massimob)
Elettroni a spasso (guidob)
Bloguerra (guerra)




