Armoniche fem alternatore
Moderatori:
SandroCalligaro,
mario_maggi,
fpalone
7 messaggi
• Pagina 1 di 1
0
voti
Ciao a tutti! La fem di un alternatore presenta solo armoniche dispari o anche pari? Trattandosi di una funzione seno direi dispari ma in una simulazione nel web ho visto che vengono calcolate le prime 10 armoniche quindi anche pari. Grazie in anticipo
-

antoelectronic
13 2 6 - New entry

- Messaggi: 96
- Iscritto il: 16 mag 2017, 11:39
0
voti
Ciao, provo a rispondere anche se non conosco la forma d’onda (FD di seguito).
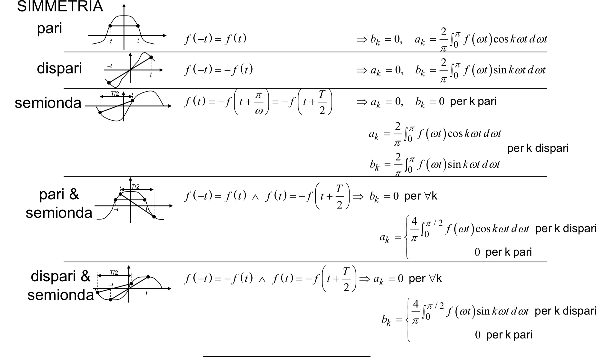
Il contenuto armonico dipende dalla simmetria della FD
Se l‘alternatore è costruito in maniera simmetrica è plausibile che la simmetria sia ‘semionda’.
In questo caso hai sia i coefficienti ak che bk ma sono null in per k pari (dove k è l’ordine armonico).
Quindi, Se la FD è simmetrica a semionda hai solo armoniche dispari.
ciao
Il contenuto armonico dipende dalla simmetria della FD
Se l‘alternatore è costruito in maniera simmetrica è plausibile che la simmetria sia ‘semionda’.
In questo caso hai sia i coefficienti ak che bk ma sono null in per k pari (dove k è l’ordine armonico).
Quindi, Se la FD è simmetrica a semionda hai solo armoniche dispari.
ciao

0
voti
trattandosi di una funzione seno direi dispari ma in una simulazione nel web ho visto che vengono calcolate le prime 10 armoniche quindi anche pari.
Una grandezza alternativa alla frequenza di 50 Hz (periodi al secondo) può considerarsi generata nel modo anzi detto dalla rotazione di un segmento che compie 50 rotazioni complete al secondo intorno al punto zero.
Le curve di tensione e corrente che si hanno in pratica deviano più o meno dalla curva sinusoidale teorica, pur essendo sempre alternative le relative grandezze; si dimostra, cosa che qui ci limitiamo ad enunciare, che una grandezza alternativa non sinusoidale risulta sempre dalla sovrapposizione ad una onda sinusoidale che è detta
perciò fondamentale o prima armonica, e di altre onde aventi frequenze multipla intera (cioè doppia, tripla, ecc.) della fondamentale. Nel caso particolare delle grandezze interessanti l’elettrotecnica non si ha tuttavia mai armoniche pari, ma solo armoniche di ordine dispari, come sarebbero la 3°, la 5°, la 7°, la 9° e la 11°.
-

StefanoSunda
2.880 3 6 10 - Master

- Messaggi: 1962
- Iscritto il: 16 set 2010, 19:29
0
voti
Un’altra domanda riguardante la terza armonica nella fem alternatore…da quanto so non è presente nel campo rotante di statore quindi non c’è a carico, mentre a vuoto esiste perché c’è solo la fmm di eccitazione che è rettangolare…aspetto conferme o smentite grazie
-

antoelectronic
13 2 6 - New entry

- Messaggi: 96
- Iscritto il: 16 mag 2017, 11:39
0
voti
Ma quindi il campo rotante di terza armonica non si annulla sempre perché le tre correnti di statore danno somma zero?
-

antoelectronic
13 2 6 - New entry

- Messaggi: 96
- Iscritto il: 16 mag 2017, 11:39
7 messaggi
• Pagina 1 di 1
Chi c’è in linea
Visitano il forum: Nessuno e 8 ospiti

Elettrotecnica e non solo (admin)
Un gatto tra gli elettroni (IsidoroKZ)
Esperienza e simulazioni (g.schgor)
Moleskine di un idraulico (RenzoDF)
Il Blog di ElectroYou (webmaster)
Idee microcontrollate (TardoFreak)
PICcoli grandi PICMicro (Paolino)
Il blog elettrico di carloc (carloc)
DirtEYblooog (dirtydeeds)
Di tutto... un po' (jordan20)
AK47 (lillo)
Esperienze elettroniche (marco438)
Telecomunicazioni musicali (clavicordo)
Automazione ed Elettronica (gustavo)
Direttive per la sicurezza (ErnestoCappelletti)
EYnfo dall'Alaska (mir)
Apriamo il quadro! (attilio)
H7-25 (asdf)
Passione Elettrica (massimob)
Elettroni a spasso (guidob)
Bloguerra (guerra)

