salve, sto cercando di ricavare le equazioni che descrivono il transitorio dello spezzone di circuito in figura 1 (un duplicatore di tensione reale).
In rete ho trovato la versione dello stesso duplicatore ( qui ) senza la resistenza in serie e andando a ricavare,a partire dalle LKC ai nodi 1 e 2 per proseguire con passaggi albegrici, la tensione sulla resistenza di carico. Ovviamente si tiene conto della non linearità "portata" dai due diodi e quindi la soluzione viene trovata con il metodo numerico Runge-Kutta (vedesi pdf allegato).
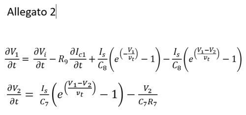
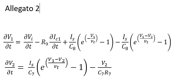
Quando io ho contato anche la R9 le formule mi son venute quelle della foto 2 allegata. Innnanzitutto è errata l'impostazione di esse? Se non ho commesso errori, questo metodo numerico è in grado di risolverle?
Transitorio duplicatore di tensione reale
Moderatori:
carloc,
g.schgor,
BrunoValente,
IsidoroKZ
17 messaggi
• Pagina 1 di 2 • 1, 2
0
voti
Come transitorio, intendi un solo esponenziale, o una successione di cicli fino ad ottenere l'andamento a regime?
Prima delle formule, mi disegnerei l'andamento qualitativo
( anche con i valori iniziali) delle varie tensioni.
Runge-Kutta, mi pare svolga le integrazioni con la formula dei trapezi.
Io adoperavo il metodo di Newton o dei rettangoli, più semplice. Tutti i metodi hanno pro-contro, complessità verso intervallo integrazione sufficientemente corto.
Ti consiglio di provare a calcolare/simulare un semplice circuito
raddrizzatore a semionda con carico capacitivo, poi acquisito il metodo lo applichi al moltiplicatore di tensione.
considererei i diodi ideali, ma se consideri la caratteristica esponenziale dei diodi sei più bravo di me, ed ho solo scritto banalità che già conosci
Prima delle formule, mi disegnerei l'andamento qualitativo
( anche con i valori iniziali) delle varie tensioni.
Runge-Kutta, mi pare svolga le integrazioni con la formula dei trapezi.
Io adoperavo il metodo di Newton o dei rettangoli, più semplice. Tutti i metodi hanno pro-contro, complessità verso intervallo integrazione sufficientemente corto.
Ti consiglio di provare a calcolare/simulare un semplice circuito
raddrizzatore a semionda con carico capacitivo, poi acquisito il metodo lo applichi al moltiplicatore di tensione.
considererei i diodi ideali, ma se consideri la caratteristica esponenziale dei diodi sei più bravo di me, ed ho solo scritto banalità che già conosci
0
voti
mattur ha scritto: ... Innnanzitutto è errata l'impostazione di esse? Se non ho commesso errori, questo metodo numerico è in grado di risolverle?
Se non esiste collegamento a sinistra di R7, le tue relazioni mi sembrano corrette, e quel metodo numerico può risolverle ma solo una volta riscritte come un sistema di EDO del primo ordine.
"Il circuito ha sempre ragione" (Luigi Malesani)
0
voti
MarcoD ha scritto:Come transitorio, intendi un solo esponenziale, o una successione di cicli fino ad ottenere l'andamento a regime?
Diciamo che,nelle migliori delle ipotesi, sarebbe ottimo avere come transitorio la serie di cicli!
MarcoD ha scritto:Prima delle formule, mi disegnerei l'andamento qualitativo
( anche con i valori iniziali) delle varie tensioni.
Intendi calcolare nelle varie fasi tra ON/OFF dei diodi quale sarebbe il circuito risultante e calcolare di conseguenza i vari andamenti di tensioni e correnti?
MarcoD ha scritto:Ti consiglio di provare a calcolare/simulare un semplice circuito
raddrizzatore a semionda con carico capacitivo, poi acquisito il metodo lo applichi al moltiplicatore di tensione.
considererei i diodi ideali, ma se consideri la caratteristica esponenziale dei diodi sei più bravo di me, ed ho solo scritto banalità che già conosci
Nel momento in cui il diodo (anche in condizioni ideali) a monte del parallelo reistenza-condensatore è ON (e quindi fluisce corrente nel parallelo) i due stadi sono accoppiati però..giusto? Chiedo umilmente quindi perché disaccoppiarli?
Ultima modifica di
mattur il 21 apr 2023, 15:40, modificato 1 volta in totale.
0
voti
RenzoDF ha scritto:mattur ha scritto: ... Innnanzitutto è errata l'impostazione di esse? Se non ho commesso errori, questo metodo numerico è in grado di risolverle?
Se non esiste collegamento a sinistra di R7, le tue relazioni mi sembrano corrette, e quel metodo numerico può risolverle ma solo una volta riscritte come un sistema di EDO del primo ordine.
A sinistra di R7 vi è una resistenza da 1M in cui, ho dedotto, scorrrendo una minima corrente non influisce in alcun modo sul transitorio. Inoltre,il punto è proprio questo..ricavare delle EDO di primo ordine o comunque sia dovrebbe "sparire" la derivata di Ic8 rispetto al tempo per poter risolvere con il metodo numerico o almeno credo..
0
voti
affermativo.Intendi calcolare nelle varie fasi tra ON/OFF dei diodi quale sarebbe il circuito risultante e calcolare di conseguenza i vari andamenti di tensioni e correnti?
Nel caso di tensione in ingresso Vi a onda quadra, viene più facile.
0
voti
RenzoDF ha scritto:Beh, non credo che volendo sia difficile farla sparire, anche se non servirebbe.
Ti prego,sono giorni che ci sbatto sù.. illuminami!
0
voti
MarcoD ha scritto: affermativo.
Nel caso di tensione in ingresso Vi a onda quadra, viene più facile.
L'ingresso è un coseno modulato dalla restante parte del circuito (in generale ha un modulo decrescente)..ed ecco perché mi vorrei affidare a metodi numerici insomma..
In ogni caso per ora cerco di disegnarmi da me questo transitori oconsiderando in ingresso un segnale a modulo costante.
0
voti
Scusa, ma come si fa normalmente a passare da una eq. diff. del secondo ordine ad un sistema di eq. diff. del primo ordine?
"Il circuito ha sempre ragione" (Luigi Malesani)
17 messaggi
• Pagina 1 di 2 • 1, 2
Chi c’è in linea
Visitano il forum: Nessuno e 66 ospiti

Elettrotecnica e non solo (admin)
Un gatto tra gli elettroni (IsidoroKZ)
Esperienza e simulazioni (g.schgor)
Moleskine di un idraulico (RenzoDF)
Il Blog di ElectroYou (webmaster)
Idee microcontrollate (TardoFreak)
PICcoli grandi PICMicro (Paolino)
Il blog elettrico di carloc (carloc)
DirtEYblooog (dirtydeeds)
Di tutto... un po' (jordan20)
AK47 (lillo)
Esperienze elettroniche (marco438)
Telecomunicazioni musicali (clavicordo)
Automazione ed Elettronica (gustavo)
Direttive per la sicurezza (ErnestoCappelletti)
EYnfo dall'Alaska (mir)
Apriamo il quadro! (attilio)
H7-25 (asdf)
Passione Elettrica (massimob)
Elettroni a spasso (guidob)
Bloguerra (guerra)



