salve a tutti, avrei bisogno di una mano nell'analisi circuitale.
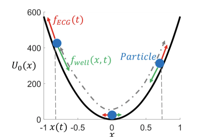
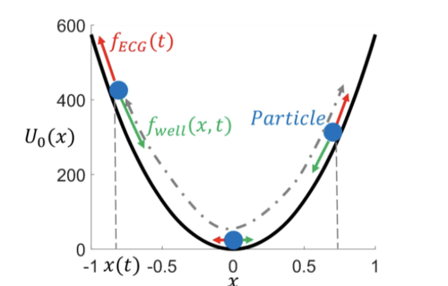
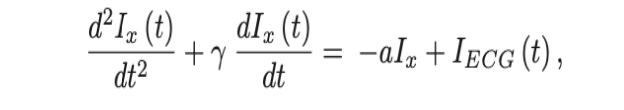
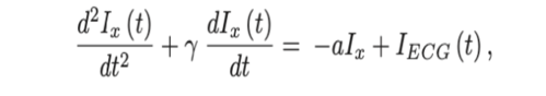
Questo è un filtro non lineare che implementa la dinamica di un pozzo monostabile, governata dall'equazione generalizzata di Langevin. Avrei bisogno di riuscire a comprendere i singoli blocchi elementari, o trovare qualche documento che spiega bene il circuito.
Ogni consiglio o aiuto è gradito.
Buona giornata a tutti
Analisi circuitale
Moderatori:
carloc,
g.schgor,
BrunoValente,
IsidoroKZ
2 messaggi
• Pagina 1 di 1
0
voti
Io sono un senior praticone poco competente, scrivo per
aprire la discussione e venire confutato.
Sa i coefficienti "a" e "gamma" sono costanti, l'equazione differenziale mi pare lineare.
Visto con un'ottica controllistica classica, sembra un filtro passa basso o una funzione di trasferimento del 2° ordine.
Fdt = ( Wo^2 )/(S^2 + 2zWo S + Wo^2)
z = smorzamento, Wo pulsazione polo doppio.
il tutto realizzato con specchi di corrente a MOS ( a parte gli integratori non specificati come realizzati), sempre se ricordo bene a memoria e non sbaglio qualcosa.
https://it.wikipedia.org/wiki/Specchio_di_corrente
Ingresso segnale in corrente IECG uscita corrente Ix
Se è un simulatore, forse si potrebbe realizzarlo con amplificatori operazionali con segnali di tensione.
Oppure l'OP è un troll che si diverte a prenderci in giro ?
Che corso di studi segui? Fisica?
aprire la discussione e venire confutato.
Sa i coefficienti "a" e "gamma" sono costanti, l'equazione differenziale mi pare lineare.
Visto con un'ottica controllistica classica, sembra un filtro passa basso o una funzione di trasferimento del 2° ordine.
Fdt = ( Wo^2 )/(S^2 + 2zWo S + Wo^2)
z = smorzamento, Wo pulsazione polo doppio.
il tutto realizzato con specchi di corrente a MOS ( a parte gli integratori non specificati come realizzati), sempre se ricordo bene a memoria e non sbaglio qualcosa.
https://it.wikipedia.org/wiki/Specchio_di_corrente
Ingresso segnale in corrente IECG uscita corrente Ix
Se è un simulatore, forse si potrebbe realizzarlo con amplificatori operazionali con segnali di tensione.
Oppure l'OP è un troll che si diverte a prenderci in giro ?
Che corso di studi segui? Fisica?
2 messaggi
• Pagina 1 di 1
Chi c’è in linea
Visitano il forum: Nessuno e 70 ospiti

Elettrotecnica e non solo (admin)
Un gatto tra gli elettroni (IsidoroKZ)
Esperienza e simulazioni (g.schgor)
Moleskine di un idraulico (RenzoDF)
Il Blog di ElectroYou (webmaster)
Idee microcontrollate (TardoFreak)
PICcoli grandi PICMicro (Paolino)
Il blog elettrico di carloc (carloc)
DirtEYblooog (dirtydeeds)
Di tutto... un po' (jordan20)
AK47 (lillo)
Esperienze elettroniche (marco438)
Telecomunicazioni musicali (clavicordo)
Automazione ed Elettronica (gustavo)
Direttive per la sicurezza (ErnestoCappelletti)
EYnfo dall'Alaska (mir)
Apriamo il quadro! (attilio)
H7-25 (asdf)
Passione Elettrica (massimob)
Elettroni a spasso (guidob)
Bloguerra (guerra)

