Tratto dal sito "Laboratorio di elettronica": Una grande quantità di materiale di alta qualità sull'elettronica, scritto dai professori Trivi e Monteduro dell'I.T.I.S. Fauser di Novara.
La modulazione è un processo che consiste nel traslare l'allocazione in frequenza della banda finita di un segnale informativo. Di fatto, la modulazione è l'alterazione sistematica di una forma d'onda, chiamata portante, secondo le caratteristiche di un'altra forma d'onda: la modulante, ovvero il messaggio.
I motivi per cui si rende necessario modulare un segnale per trasportare informazione sono almeno di quattro fattori:
- Assegnazione di bande, cioè ripartizione delle medesime risorse fra più utenti che necessitano di comunicare nello stesso tempo e nello stesso luogo
- Agevolare l'irradiazione, cioè meglio adattare il segnale al mezzo trasmissivo
- Trasmettere contemporaneamente più segnali differenti, basti pensare alla televisione
- Riduzione del rumore e delle interferenze.
Possiamo così schematizzare un canale di trasmissione:
Sorgente Þ Modulatore Þ
Filtro di Trasmissione [HT(f)] Þ Canale
[HC(t)] Þ Filtro di Ricezione
[HR(f)] Þ Demodulatore
In questo modello HT(f), HC(f) ed HR(f) sono le funzioni di trasferimento dei rispettivi blocchi. Generalmente si suppone che il canale sia lineare ed il rumore sia additivo. Mentre, per quanto riguarda i filtri di trasmissione e di ricezione, che dovrebbero essere sempre presenti, si assume che siano filtri passabanda centrati attorno alla frequenza di riferimento della portante f0. Se f0 = 0, i filtri sono dei passabasso e la trasmissione si dice in banda base. In questo ultimo caso, utilizzato, ad esempio, per le comunicazioni fra due calcolatori via seriale o parallela, non vi è modulazione.
Le modulazioni possono essere divise in due grosse branche: analogiche e digitali. A loro volta, in base alle caratteristiche della modulazione stessa, verranno suddivise in altre tipologie.
Prima di procedere all'esame dei vari tipi di modulazione analogica è, però, opportuno richiamare alcune notazioni di base.
Un segnale sinusoidale s(t) può essere rappresentato in forma complessa:
in cui:
prende il nome di
inviluppo
prende il nome di fase
istantanea
è la pulsazione
istantanea e
misura la velocità con cui varia la fase. La frequenza istantanea è pari
alla pulsazione istantanea divisa per 2p.
Siccome, in trasmissione, posso fisicamente inviare solo segnali reali, dovrò trasmettere la parte reale del segnale complesso richiamato in precedenza, quindi trasmetterò un segnale del tipo x(t)cos(2pfct).
Questa formula mi suggerisce l'analisi di un segnale di questo tipo:
Potrò così avere almeno due categorie di modulazioni:
Modulazioni dell'ampiezza:
quando F(t) = 0 e A(t) = a + bx(t)
Modulazioni d'angolo, aventi A(t) = A0 e distinte in due gruppi:
Modulazione di fase se F(t) = a + bx(t)
Modulazione di frequenza se
Se effettuo una banale moltiplicazione del segnale modulante con il segnale
portante, ricordando che
potrò dire che:
Da qui posso notare che esistono due righe spettrali laterali simmetriche rispetto alla frequenza della portante, una a frequenza fc - fm ed una a frequenza fc + fm; inoltre non ho, nello spettro, la riga relativa alla portante fc. Se, anziché modulare con un tono puro, avessi usato una banda di frequenze, avrei ottenuto due bande di frequenze al posto delle due righe spettrali.
Quanto detto mi spinge ad alcune considerazioni distinte: in primis, l'informazione è recata da entrambe le bande laterali, e ciò giustifica il nome di DSB [Double Side Band] dato a questo tipo di modulazione, la potenza trasmessa è pari al prodotto della potenza della portante per quella della modulante, l'occupazione in banda e uguale al doppio della banda della modulante ed inoltre, condizione piuttosto pesante, in ricezione devo ricostruire la portante in quanto, come visto, ne ho perso l'informazione. la prima considerazione mi spinge a sopprimere, con dei filtri, una delle due bande, ottenendo quella che è chiamata modulazione in SSB [Single Side Band]. Se sopprimo la banda laterale sinistra, avrò la USB [Upper Side Band], se, invece, sopprimo la destra, avrò la modulazione in LSB [Lower Side Band]. Mi resta sempre, però, il problema di dover recuperare la portante all'atto della demodulazione.
Posso così pensare che le condizioni che mi sono necessarie per avere una modulazione d'ampiezza devono essere le seguenti:
- Esiste una relazione lineare fra il valore istantaneo del segnale modulante avente frequenza angolare fm e l'ampiezza istantanea della radiofrequenza modulata.
- Si evita che questa ampiezza scenda al di sotto dello zero, in quanto, se così fosse, si introdurrebbe una distorsione dovuta ad una variazione della fase (il cosiddetto "salto di fase"): nell'attraversamento per lo zero la fase si inverte.
- Durante le pause di modulazione si fa in modo che l'ampiezza istantanea A(t) raggiunga il valore A0 della portante non modulata.
Come conseguenza di queste tre condizioni, si vede che non basta moltiplicare A0 per cos[2pfmt + f], ma bisogna aggiungere a questo segnale una componente continua in modo che la risultante non diventi mai negativa.
Se chiamiamo
la
profondità di
modulazione, l'espressione generale della A(t) modulata si può scrivere come:
l'espressione completa del valore istantaneo risulta:
Ricordando ancora che
Se analizziamo attentamente questa formula, ci accorgiamo che il segnale
modulato con una sola frequenza modulante equivale alla somma di tre segnali non
modulati. Questi tre segnali costituiscono le tre righe dello spettro di Fourier
le cui frequenze sono così scalate: fc - fm ,
fc , fc + fm . La considerazione più elementare
che ci viene in mente è che ciascuna riga laterale, che si allarga fino a
diventare una banda solo quando il segnale modulante non è più una sinusoide
pura, dista dalla riga centrale per un valore esattamente uguale alla frequenza
di modulazione, in meno per la riga inferiore, ed in più per quella superiore.
Inoltre le due righe laterali hanno ampiezza uguale fra di loro e pari alla metà
del prodotto mA0, per cui risultano proporzionali alla portante, ma
non superiori alla metà di essa; quest'ultimo caso, di ampiezza uguale ad
, si verifica con un indice di modulazione
del 100 %. Se si supera tale valore si introduce una distorsione del segnale
modulato, e si dice che si sta "sovramodulando". Inoltre, continuando
nell'analisi, vediamo che il segnale modulato è privo di modulazione angolare,
in quanto, restando l'ampiezza istantanea sempre ³ 0,
l'andamento della fase è descritto sempre e soltanto dal fattore cos ( Ft + f ) che non dipende in alcun
modo dalla modulante.
Questo tipo di modulazione, prende il nome di AM [Amplitude Modulation] e si distingue dalle precedenti in quanto permette la demodulazione non coerente. La presenza delle due righe a cavallo della riga della portante giustifica il fatto che, anche in questo caso, l'occupazione in banda è pari al doppio della banda della modulante. Per questo motivo, l'AM fu il primo metodo di modulazione utilizzato.
Un quarto tipo di modulazione dell'ampiezza è la VSB [Vestigial Side
Band], cioè modulazione in banda vestigiale: si conservano alcune
vestigia della banda soppressa per agevolare le operazioni di
ricostruzione della portante. é il metodo utilizzato per la trasmissione
televisiva. In questa modulazione, che consente, rispetto alla DSB, un notevole
risparmio di banda, deve essere presente la portante con una potenza pari alla
metà di quella della AM ed una coda di segnale corrispondente alla banda
laterale sinistra.
Modulazioni angolari
Le modulazioni angolari sono quelle in cui l'informazione viene associata
alla fase del segnale portante. Un segnale modulato in fase è del tipo:
in cui la dipendenza della variazione di fase
dal segnale modulante x(t) è di due
tipi:
, ovvero dipendenza lineare della
fase dal segnale modulante, e parleremo di Modulazione di Fase o PM
[Phase Modulation]
, ovvero dipendenza lineare della
derivata della variazione di fase dal segnale modulante, cioè è la frequenza
istantanea che varia linearmente con x(t), e parleremo quindi di Modulazione
di Frequenza o FM [Frequency Modulation].
Sebbene la modulazione di fase sia di importanza fondamentale nelle modulazioni digitali, è decisamente poco diffusa nelle trasmissioni analogiche, e questo perché non solo è più difficile da realizzare, ma, soprattutto, ci consente guadagni di demodulazione molto minori rispetto a quelli raggiunti con la FM.
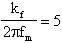
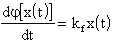
Un segnale s(t) modulato in frequenza da x(t) ha la forma:
la sua frequenza istantanea si calcola derivando la fase istantanea e
dividendo per 2p ed è pari a
il termine
prende il nome di
deviazione istantanea di frequenza.
Se ora consideriamo la modulante costituita da un tono puro del tipo x(t) =
cos ( 2pfmt ), avremo il segnale modulato
pari a:
Come si può vedere, il segnale modulante è periodico di periodo
. Se si richiede che almeno il 98%
dell'energia sia compreso nelle prime N armoniche, si può dimostrare la legge di
Carson, che dice che
; quindi la banda
al 98% del segnale modulato è definita come
. Il termine
si chiama indice di modulazione. La massima
deviazione di frequenza vale
e,
quindi, la banda del segnale modulato può essere scritta nella forma
.
A seconda dei valori del termine
si
usa distinguere due tipologie della modulazione di frequenza:
- Modulazione di Frequenza a Banda Stretta o NBFM [Narrow Band
Frequency Modulation], per valori di
, ed in questo caso si ha Bs
» 2 fm, ossia la modulazione di frequenza
non è molto differente da una modulazione d'ampiezza
- Modulazione di Frequenza a Banda Larga o WBFM [Wide Band Frequency
Modulation], che si ha per valori di
. In questo caso si ha Bs » 2 fD ovvero la banda
del segnale modulato in frequenza è praticamente indipendente dalla banda del
segnale modulante.
Per le radiodiffusioni in FM si assume un indice di modulazione
, per cui, associando una frequenza della
modulante massima pari a 15 kHz, la deviazione massima di frequenza sarà di 75
kHz.
Modulazioni digitali
Un segnale digitale può modulare l'ampiezza, la frequenza o la fase di una portante sinusoidale. Se la forma d'onda modulante consiste in impulsi rettangolari senza ritorno a zero, allora i parametri modulati saranno spostati [in inglese Keyed] da un valore discreto all'altro. A mo' di esempio riportiamo, in figura, le forme d'onda di tre tipi di modulazione digitale, rispettivamente l'ASK [Amplitude Shift Keying] praticamente sinonimo di PAM [Pulse Amplitude Modulation], l'FSK [Frequency Shift Keying] e la PSK [Phase Shift Keying]. Per confronto, abbiamo inserito anche la forma d'onda prodotta da una modulazione di tipo DSB, dove possiamo vedere il "salto di fase" a cui si accennava in precedenza.
Una rapida analisi dei tre tipi principali di modulazione, ci fa vedere come nella modulazione di ampiezza, ASK, i bit 0 o 1 sono rappresentati dalla assenza o dalla presenza della portante. Questo tipo di modulazione è anche detto di tipo on-off. La modulazione di ampiezza, è più sensibile al rumore rispetto alle altre due modulazioni digitali e richiede un banda doppia rispetto a quella occupata dal messaggio.
Per ridurre la banda occupata e la potenza di trasmissione, si ricorre a trasmissioni di tipo SSB o VSB. Per aumentare la velocità di trasmissione si sfruttano tecniche multilivello, consistenti nell'associare a multiplette di bit livelli di tensione differenti, ad esempio, associamo alla parola 00 il livello di 0 V, a 01 1 V, a 10 2 V ed a 11 3 V.
Nell'FSK, ai due livelli logici 1 e 0 corrispondono due differenti frequenze. Ad esempio, nella raccomandazione CCITT V.23 si associa allo 0 una frequenza di 2.1 kHz e all'1 quella di 1.3 kHz.
La modulazione FSK richiede una banda maggiore ispetto alla ASK, ciò a causa della presenza delle due portanti, tuttavia la si preferisce all'ASK per maggior semplicità dei circuiti di demodulazione e di rivelazione del segnale. Inoltre, essendo l'ampiezza del segnale modulato indipendente dal segnale modulante, questo tipo di modulazione sarà più insensibile ad un rumore additivo che andrà a variare proprio l'ampiezza del segnale.
Nella modulazione PSK indicata nella figura, i due valori logici 1 e 0 vanno a sfasare di 180° il valore della fase della portante. Questo tipo di modulazione è anche chiamato BPSK [Bipolar Phase Shift Keying].
Spesso, per meglio visualizzare questi tipi di modulazione, si ricorre a
rappresentazioni geometriche. La relativa raffigurazione della modulazione BPSK
è riportata di seguito:

In queste rappresentazioni la distanza dei punti dal centro rappresenta la radice quadrata dell'energia media associata al segnale.
Da questo tipo di modulazione, discende la DPSK, ovvero Differential PSK, in cui vengono trasmesse solo le differenze di fase. Ad esempio, trasmettendo un 1 logico, non cambio la fase, che verrà variata di 180° solo in presenza di uno 0 logico.
Se anziché associare la variazione di fase solo a parole di un bit, come nel
caso della BPSK, associo, per ipotesi, parole di due bit, avrò sì bisogno di di
22 livelli differenti di fase, ma riuscirò a trasmettere più
velocemente. Questo è il più semplice esempio di modulazione PSK multifase, la
situazione per un numero M=4 ed M=8 [parole di tre bit] segnali è rappresentata
nelle figure seguenti:

Nel caso di 4 segnali, la modulazione viene chiamata QPSK [Quaternary PSK] o 4-PSK, mentre con 8 segnali si parlerà di OPSK [Octonary PSK] o di 8-PSK.
Sembrerebbe, a questo punto, facile andare a trasmettere n bit, trasmettendo
2n segnali, ognuno sfasato di
. Ma, supponendo di vincere le evidenti
maggiori complessità circuitali, ci troveremmo esposti ad una maggiore
probabilità di errore. Se, infatti, consideriamo le regioni di decisione,
ovverosia le regioni in cui il mio demodulatore e, quindi, il ricevitore, decide
che simbolo è stato trasmesso, vediamo che le regioni si assottigliano. Se nel
caso del BPSK le due regioni di decisione erano costituite dai semipiani
separati dall'asse delle ordinate, per cui, avendo, per ipotesi, trasmesso 1 ci
voleva un disturbo di energia superiore a
per far sì che l'uno andasse nell'area di
decisione competente allo zero e fosse quindi mal interpretato, con più punti di
medesima energia è più facile che un simbolo possa essere erroneamente ricevuto.
A prova di ciò basti pensare che nel caso di un QPSK con sfasamento iniziale di
45°, le regioni di decisione sono delimitate dagli assi coordinati, mentre in un
OPSK avremo spicchi con angolo al centro pari a
.

La prima cosa che ci viene in mente, per migliorare la probabilità di corretta ricezione, è di distanziare, fra loro, i segnali. Ciò è agevolmente fattibile aumentando l'energia associata. Così facendo, però, andiamo incontro a due serie di problemi: il primo riguarda un aumento dei costi, dell'ingombro delle strutture e, soprattutto per trasmissioni via satellite, di reperimento energetico, il secondo consiste nel fatto che, per le applicazioni tramite modem, il canale di trasmissione è costituito da cavi ed un aumento dell'energia vorrebbe dire maggior dissipazione di calore per effetto Joule e, alla lunga, comporterebbe la fusione dei cavi stessi, laddove non opportunamente dimensionati.
Per questi motivi, uniti a considerazioni relative al rapporto segnale-rumore ed all'efficienza di banda, si preferisce utilizzare una combinazione di modulazioni d'ampiezza multilivello e di fase. Per far ciò la costellazione di punti deve essere collocata sul piano in modo che aumenti il rendimento di banda senza diminuire la distanza minima fra i punti.
Il ragionamento è banale: dedicando lo stesso intervallo di tempo a trasmettere un numero doppio di segnali, la velocità di trasmissione raddoppia, quindi, a parità di energia e di prestazioni di banda, riesco a trasmettere più segnali.
Un esempio può essere dato dalla costellazione rappresentata nella figura a),
nella b) sono indicate le relative regioni di decisione:

Le costellazioni di segnali da 4 a 256 sono riportate in figura.

Gli schemi di modulazione consistenti di due canali PAM indipendenti, ovvero quando il valore di log2(M) è pari, prendono anche il nome di modulazioni QAM [Quadrature Amplitude Modulation]
Facciamo ora delle rapide considerazioni pratiche.
Nei modem servono due canali, uno per ogni direzione (ricezione e trasmissione), quindi, per la trasmissione, ad esempio, la banda utilizzabile è, al massimo, la metà della banda disponibile. Se, poi, usiamo l'FSK avremo bisogno di due portanti per due forme d'onda ortogonali, il che vuol dire che usa uno spazio di dimensione 2 per trasmettere un bit. Nel BPSK il numero di bit per dimensione è 1, nel 4-PSK è di 2 : 2 = 1. Nel 16-QAM si hanno 4 bit per 2 dimensioni, ovvero 2 bit per dimensione. Quanto più cresce il numero di bit per dimensione, tanto più possiamo andare veloci.
Storicamente, negli anni '20, Nyquist prendeva il prodotto 2WT = 1, essendo W la larghezza di banda e T il periodo, e costruiva segnali monodimensionali.
Negli anni '50, grazie alla teoria dell'informazione di Shannon, possiamo
teoricamente trasmettere M segnali in n dimensioni. La quantità di informazione
per bit è
, essendo il tempo T, la
velocità di trasmissione sarà
. Ciò
vuol dire che, se aumento il numero di dimensioni, riuscirò a trasmettere più
informazione alla stessa velocità, ovvero posso aumentare, a parità di banda, la
velocità di trasmissione. In altri termini, la banda non limita la velocità di
trasmissione.
Nel caso di 2 bit a dimensione, il limite sulla banda è di 16 kbit/sec. con un rapporto di 4 ottengo 32 kbit/sec.
Per poter costruire modem veloci, è stato considerato lo spazio dei segnali bidimensionali (4- PSK o 16-QAM). Shannon aveva già osservato che ci può essere, nelle trasmissioni, un guadagno dovuto all'incremento della dimensione nello spazio dei segnali e la velocità dipende non più da T e da W, ma da M; T e W sono interscambiabili. Quindi posso ignorare la limitazione dovuta alla ristretta banda telefonica o alla limitazione sul canale e posso, quindi, trasmettere ad alta velocità su di una banda limitata.
Ricordando, però, che la potenza è data dal prodotto del numero di bit al secondo per l'energia per bit, e che, comunque, a bassa energia associata corrisponde una maggiore probabilità di errore, il limite fisico è costituito proprio dalle dimensioni dei cavi, anche se è dimostrabile che aumentando la dimensione degli spazi, si migliora anche in termini di probabilità di errore. é stata realizzata una configurazione con M = 16, n=4 ed R=1. Quindi si trasmette 1 bit per dimensione. La forma geometrica della costellazione è una sfera. in questo caso il prodotto 2WT = 2.
Le considerazioni sembrano intuitive se guardiamo la figura seguente, caso
semplicissimo di una struttura a tre segnali:

Sebbene queste tecniche di modulazione siano tecniche a larga banda, in quanto si paga un po' di più in termini di occupazione di banda, in realtà i vantaggi sul migliore utilizzo della potenza derivante da una netta diminuzione dell'errore, che conseguono dall'utilizzo di prodotti 2WT crescenti, giustificano gli sforzi tecnologici che, al momento, si stanno compiendo. Giusti compromessi fra potenza ed errore sono raggiunti non solo con l'ottimizzazione dei ricevitori e con la scelta oculata di particolari forme d'onda, ma anche grazie all'uso di codifiche a controllo d'errore. Codici come quello di Reed & Solomon, utilizzato nella realizzazione dei CD audio (che può essere tranquillamente visto come canale trasmissivo), permettono di forare, letteralmente, il supporto con un foro da 1 cm di diametro senza che si noti, all'ascolto, alcun tipo di errore: l'informazione è perfettamente giunta a destinazione.

Elettrotecnica e non solo (admin)
Un gatto tra gli elettroni (IsidoroKZ)
Esperienza e simulazioni (g.schgor)
Moleskine di un idraulico (RenzoDF)
Il Blog di ElectroYou (webmaster)
Idee microcontrollate (TardoFreak)
PICcoli grandi PICMicro (Paolino)
Il blog elettrico di carloc (carloc)
DirtEYblooog (dirtydeeds)
Di tutto... un po' (jordan20)
AK47 (lillo)
Esperienze elettroniche (marco438)
Telecomunicazioni musicali (clavicordo)
Automazione ed Elettronica (gustavo)
Direttive per la sicurezza (ErnestoCappelletti)
EYnfo dall'Alaska (mir)
Apriamo il quadro! (attilio)
H7-25 (asdf)
Passione Elettrica (massimob)
Elettroni a spasso (guidob)
Bloguerra (guerra)


