ibra ha scritto:Puoi spiegare meglio questo passaggio?
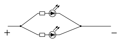
No.. aspetta un minuto che scarico Fidocad e ti posto lo schema... (lo uso in ufficio, ma sul PC di casa non l'avevo ancora
Moderatori:
carloc,
g.schgor,
BrunoValente,
IsidoroKZ
ibra ha scritto:Puoi spiegare meglio questo passaggio?

ibra ha scritto:Ok![]()
Se li hai montati tutti e dieci in questo modo va bene.
Prova a inserire a monte un diodo, tipo 1N4007 o equivalenti.

ibra ha scritto:metti uno zener da 15V 1W in parallelo al motorino.
Prova e facci sapere.
ibra ha scritto:Quelle macchinine fanno anche la retromarcia?
MSilvano ha scritto:Collegarli in serie? Collegare le due resistenze in serie, ma poi lasciare i due led in parallelo?
Visitano il forum: Nessuno e 214 ospiti