valore di landa per stabilità robusta

PLC, servomotori, inverter...robot

Moderatori: Foto Utentedimaios, Foto Utentecarlomariamanenti

Avatar utente
Foto Utenteflav1
0 2
Messaggi: 9
Iscritto il: 17 mar 2019, 8:46
0
voti

[1] valore di landa per stabilità robusta

Messaggioda Foto Utenteflav1 » 7 giu 2019, 22:37

Salve,

devo determinare la stabilità robusta del parametro theta contro le incertezze.

Mi vengono dati il processo : P(s) = [(s-1)/(s+10)*(s+1)]*e^-(theta*s) con theta compreso tra 0.5 e 11, e mi viene dato il processo nominale P(s) = [(s-1)/(s+10)*(s+1)]*e^-(s) .

devo andare a verificare la seguente condizione:

Cattura.PNG
Cattura.PNG (2.69 KiB) Visto 3882 volte
(1)

alla fine quello che ottengo è :

Cattura c.PNG
Cattura c.PNG (10.46 KiB) Visto 3882 volte


e


Cattura d.PNG


come faccio a determinare il valore di landa per cui la condizione (1) è verificata? Grazie in anticipo.

(in caso non fosse chiaro posso postare l' esercizio svolto da me su foglio di carta)

Avatar utente
Foto Utenterichiurci
32,6k 7 11 13
G.Master EY
G.Master EY
Messaggi: 8801
Iscritto il: 2 apr 2013, 16:08
Contatta:
0
voti

[2] Re: valore di landa per stabilità robusta

Messaggioda Foto Utenterichiurci » 7 giu 2019, 22:48

Landa chi?

Avatar utente
Foto Utenteflav1
0 2
Messaggi: 9
Iscritto il: 17 mar 2019, 8:46
0
voti

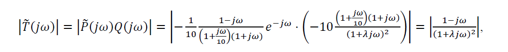
[3] Re: valore di landa per stabilità robusta

Messaggioda Foto Utenteflav1 » 7 giu 2019, 22:52

landa è il valore che si trova a denominatore di |T(jw)|.

Scusami in effetti non sono stato molto chiaro.

la condizione quindi sarebbe:

Screenshot_20190607-225515.png
Screenshot_20190607-225515.png (187.1 KiB) Visto 3867 volte

Avatar utente
Foto Utenteflav1
0 2
Messaggi: 9
Iscritto il: 17 mar 2019, 8:46
0
voti

[4] Re: valore di landa per stabilità robusta

Messaggioda Foto Utenteflav1 » 7 giu 2019, 23:37

Quindi, come faccio a disegnare il modulo del diagramma di Bode di quella funzione di trasferimento e qual è il valore di landa affinchè questo modulo resti sempre minore di 1? Grazie in anticipo

Avatar utente
Foto Utenteclaudiocedrone
21,3k 4 7 9
Master EY
Master EY
Messaggi: 15317
Iscritto il: 18 gen 2012, 12:36
0
voti

[5] Re: valore di landa per stabilità robusta

Messaggioda Foto Utenteclaudiocedrone » 7 giu 2019, 23:49

Ciò Foto Utenteflav1 sito veneto ?...
Questa lettera \lambda si chiama lambda, non landa;
poi in LaTeX devi anteporre lo slash "\" per ottenere la lettera greca, inoltre sempre in LaTeX l'asterisco si usa per indicare la convoluzione per cui se per caso lo hai usato per indicare il prodotto è sbagliato; il prodotto si indica con "\cdot" oppure "\times" ( \cdot oppure \times)...
O_/
"Non farei mai parte di un club che accettasse la mia iscrizione" (G. Marx)

Avatar utente
Foto Utenteclaudiocedrone
21,3k 4 7 9
Master EY
Master EY
Messaggi: 15317
Iscritto il: 18 gen 2012, 12:36
0
voti

[6] Re: valore di landa per stabilità robusta

Messaggioda Foto Utenteclaudiocedrone » 8 giu 2019, 0:49

...ancora su LaTeX:
omega minuscolo "\omega" (\omega) e non w per la pulsazione, per la frazione (divisione)
non usare il reverse slash ma la seguente sintassi "\frac{numeratore}{denominatore}" (es. 1/10= \frac{1}{10});
per semplificarti la vita (e semplificare la comprensione a chi ti legge :-) ) puoi fare uso di questo editor.

O_/
"Non farei mai parte di un club che accettasse la mia iscrizione" (G. Marx)

Avatar utente
Foto UtenteMarcoD
12,2k 5 9 13
Master EY
Master EY
Messaggi: 6696
Iscritto il: 9 lug 2015, 16:58
Località: Torino
1
voti

[7] Re: valore di landa per stabilità robusta

Messaggioda Foto UtenteMarcoD » 8 giu 2019, 9:06

la teoria dei controlli automatici è un landa misteriosa, popolata da simboli strani... :-)


Torna a “Automazione industriale ed azionamenti”