
cosi facendo, possiamo scegliere un guadagno K molto più elevato, con conseguente errore a regime molto basso ,anche nel caso di ingresso a rampa. Inoltre anche la risposta al gradino è più gradevole.
Moderatori:
dimaios,
carlomariamanenti

), il che risulterebbe in una funzione d'anello pari proprio a
. Il polo che aggiungi per renderla propria dovrà essere a frequenza molto più alta dell'attraversamento, per limitarne l'influenza sulla risposta ad anello chiuso.
corrisponde approssimativamente alla pulsazione di attraversamento, quindi alla banda (in rad/s).

SandroCalligaro ha scritto:
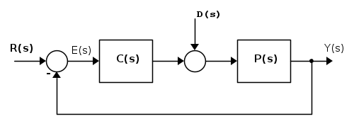
fai una compensazione esatta della funzione di trasferimento del plant (usando l'inverso della fdt del plant)
g.schgor ha scritto:matematicamente si può
risolvere tutto, ma un ingegnere deve
risolvere problemi concreti e mi sembra
si stia perdendo il senso della realtà.


Dal punto di vista teorico è corretto:
[...]
Dal punto di vista pratico, potrebbe essere probabile che alcune variabili di stato (sia nel regolatore, che nel plant, se l'attuazione della forza non avesse limiti) raggiungano valori "non ragionevoli" (cioè non rappresentabili, nel regolatore, oppure non sostenibili fisicamente, per il plant).










, per via del modulo alla risonanza del processo. Con un'azione compensatrice mal pensata, si potrebbero avere attraversamenti multipli dell'asse 0dB, con conseguente difficile identificazione dei margini di stabilità. 
, lo posiziono quasi una decade prima

, da cui si ottiene un
.
Torna a Automazione industriale ed azionamenti
Visitano il forum: Nessuno e 7 ospiti