Analisi metodi di discretizzazione

PLC, servomotori, inverter...robot

Moderatori: Foto Utentedimaios, Foto Utentecarlomariamanenti

Avatar utente
Foto Utenteelsar
0 2
Messaggi: 1
Iscritto il: 2 set 2009, 12:17
0
voti

[1] Analisi metodi di discretizzazione

Messaggioda Foto Utenteelsar » 2 set 2009, 12:29

Salve,

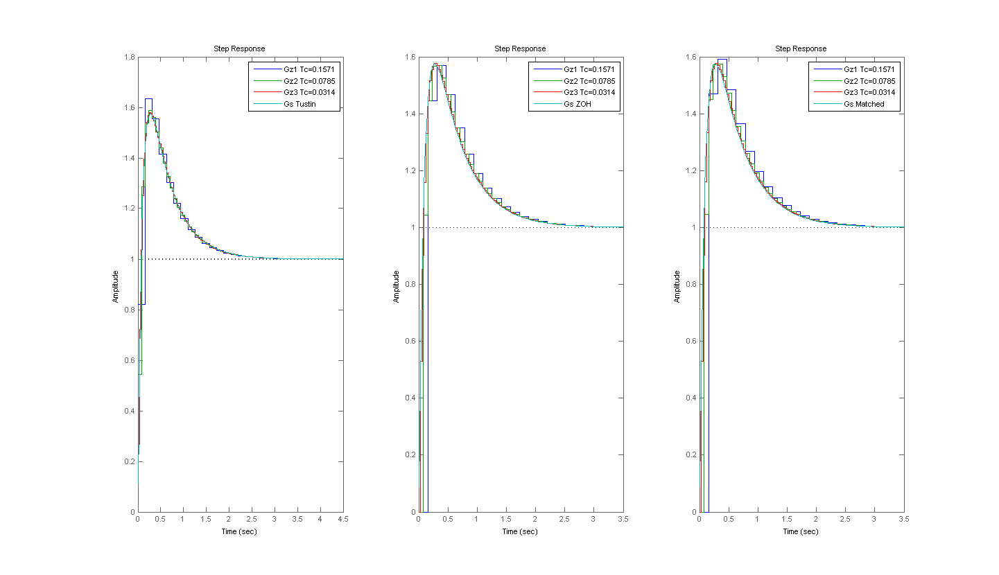
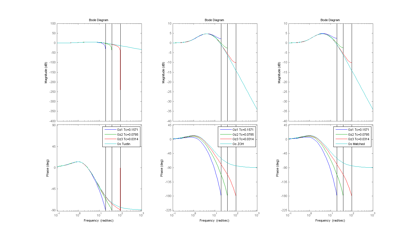
volevo chiedere un parere. Devo commentare i seguenti grafici: Bode, Risposta al Gradino, Risposta all'Impulso ottenuti discretizzando un filtro digitale con vari metodi e con vari tempi di campionamento. I metodi di discretizzazione usati sono: Tustin, ZOH e corrispondenza poli-zeri (matched).

Questi sono i grafici ma non so bene come interpretarli... Magari potete darmi una mano! [-o<

Pensate come se doveste sostenerci un orale... ad esempio :lol:

bode.png
bode.png (18.42 KiB) Visto 722 volte

impulse.png
impulse.png (11.73 KiB) Visto 723 volte

gradino.png
gradino.png (14.57 KiB) Visto 723 volte

Torna a “Automazione industriale ed azionamenti”