Mi permetto di intromettermi anch'io:
- le stilo ricaricabili a 1,2V sono quasi scariche; di fatto sarebbero da 1,4V...
- i resistori in serie al singolo LED, sebbene di valore modesto, li lascerei comunque: aiutano ad "allineare" le correnti tra i vari LED e riducono la potenza che deve dissipare il circuito integrato regolatore di corrente;
- l'efficienza energetica del circuito non è "da salti di gioia"; l'ideale sarebbe orientarsi verso uno switching; però tra il dire e il fare...
Il raddrizzamento della tensione dell'alternatore potrebbe anche essere effettuato usando il duplicatore di tensione, magari con diodi Schottky (come l' 1N5818).
Il difetto sta nel dimezzamento della corrente, ma si possono mettere i LED a coppie in serie, anzichè singoli.
sostituire una lampadina con diodi LED
Moderatori:
g.schgor,
IsidoroKZ
0
voti
grazie, vediamo se riesco a capire tutte le correzioni che suggerite:
Quindi mettere 4 pile e non 5
Quindi togliere le resistenze? Io SE hoi fatto i calcoli gliusti, e vi pregherei
di controllarli, dovrei avere tarato l'intensità in uscita dal "circuito" di giorgio per 25 mA per ogni led (totale 25mA x 25 = 625mA)
così si arriverebbe a 1,4 x 4 = 5,6, tensione che spero di raggiunere con la dinamo, a 14v dovrei arrivarci senza grossi problemi, togliendo anche 1v per diodo rimangono comunque 10 volt?
Quindi li lascio o li tolgo? e soprattutto, sono di valore GIUSTO?
Cioè? un relè?
Avevo già intenzione di usare quei diodi per il ponte, ma facendo come suggerisci, ma facendo come dici tu non perderei una "semionda" o quasi?
Se pensi che sia più efficiente modifico il progetto, ma potresti spiegarmi come posso regolare intensità e tensione col duplicatore di tensione?
Grazie
mir ha scritto:-la pila da 6V non può andar bene in quanto non si avranno mai 6V in uscita dal regolatore, per ovvie cadute di tensione offerte dal ponte di diodi, quindi si dovrebbe scendere a valori più bassi considerando che un elemento stilo ricaricabile offre 1,2 V ..mA, eseguendo un serie con 4 elementi si può ottenere 1,2 x 4 = 4,8 V
Quindi mettere 4 pile e non 5
mir ha scritto:-i diodi led come già detto e confermato da giorgio non hanno bisogno del resistore se si utilizza il circuito indicato, importante è dimensionare la R per l'intensità di corrente complessiva che si vuole avere sul ramo dei diodi led, a questo proposito si dovrà considerare la massima intensità di corrente che si può avere dalla dinamo, e cercare di considerare un numero di diodi led fattibile ipotizzando i famigerati 20 mA per diodo led (rileggere attentamente il precedente topic di giorgio)
Quindi togliere le resistenze? Io SE hoi fatto i calcoli gliusti, e vi pregherei
di controllarli, dovrei avere tarato l'intensità in uscita dal "circuito" di giorgio per 25 mA per ogni led (totale 25mA x 25 = 625mA)lucbie ha scritto:- le stilo ricaricabili a 1,2V sono quasi scariche; di fatto sarebbero da 1,4V...
così si arriverebbe a 1,4 x 4 = 5,6, tensione che spero di raggiunere con la dinamo, a 14v dovrei arrivarci senza grossi problemi, togliendo anche 1v per diodo rimangono comunque 10 volt?
lucbie ha scritto:- i resistori in serie al singolo LED, sebbene di valore modesto, li lascerei comunque: aiutano ad "allineare" le correnti tra i vari LED e riducono la potenza che deve dissipare il circuito integrato regolatore di corrente;
Quindi li lascio o li tolgo? e soprattutto, sono di valore GIUSTO?
lucbie ha scritto:l'ideale sarebbe orientarsi verso uno switching;
Cioè? un relè?
lucbie ha scritto:Il raddrizzamento della tensione dell'alternatore potrebbe anche essere effettuato usando il duplicatore di tensione, magari con diodi Schottky (come l' 1N5818).
Avevo già intenzione di usare quei diodi per il ponte, ma facendo come suggerisci, ma facendo come dici tu non perderei una "semionda" o quasi?
Se pensi che sia più efficiente modifico il progetto, ma potresti spiegarmi come posso regolare intensità e tensione col duplicatore di tensione?
Grazie
0
voti
P.S. devo inserire il source di fidocad e si incorpora da solo o devo fare altre manovre?
0
voti
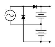
Riguardo il duplicatore, con una semionda carichi un condensatore e con l'altra carichi l'altro condensatore. Quindi non perdi potenza; raddoppi la tensione e dimezzi la corrente.
Al posto dei condensatori potresti inserire direttamente le batterie ( 4 celle + 4 celle NiMH):
Indubbiamente impiegherai il doppio del tempo a ricaricarle, ma potrai contare su circa 9,6V a pile praticamente scariche e 11,2V a pile ben cariche. Togliendo la caduta sul regolatore ti resta sufficiente tensione per alimentare i LED a parallelo di coppie in serie.
Con switching intendevo un circuito abbastanza complesso, con induttore e condensatore, che prende un range di tensione in ingresso (nel tuo caso approssimativamente 3V - 7V senza duplicatore e 5V - 15V con il duplicatore) e che in uscita generi una tensione più elevata (variabile in funzione del carico ma non in funzione della tensione d'ingresso) ed una corrente il più possibile costante. Stavo lavorando su una cosa del genere con gli integrati MC34063 , ma ho temporaneamente parcheggiato il progetto.
In generale, ti sto solo aggiungendo due alternative.
I resistori li lascerei; molto bassi (circa 22Ω per correnti di 20mA), ma li lascerei.
Al posto dei condensatori potresti inserire direttamente le batterie ( 4 celle + 4 celle NiMH):
Indubbiamente impiegherai il doppio del tempo a ricaricarle, ma potrai contare su circa 9,6V a pile praticamente scariche e 11,2V a pile ben cariche. Togliendo la caduta sul regolatore ti resta sufficiente tensione per alimentare i LED a parallelo di coppie in serie.
Con switching intendevo un circuito abbastanza complesso, con induttore e condensatore, che prende un range di tensione in ingresso (nel tuo caso approssimativamente 3V - 7V senza duplicatore e 5V - 15V con il duplicatore) e che in uscita generi una tensione più elevata (variabile in funzione del carico ma non in funzione della tensione d'ingresso) ed una corrente il più possibile costante. Stavo lavorando su una cosa del genere con gli integrati MC34063 , ma ho temporaneamente parcheggiato il progetto.
In generale, ti sto solo aggiungendo due alternative.
I resistori li lascerei; molto bassi (circa 22Ω per correnti di 20mA), ma li lascerei.
0
voti
considerando 20 mA per ogni diodo led, per un totale di 25 diodi led si ha un'intensità di corrente complessiva di :

quindi la
necessaria per LM317 (circuito proposto da giorgio) vale:

direi di si.

quindi la
necessaria per LM317 (circuito proposto da giorgio) vale:
iaxexo ha scritto:Quindi mettere 4 pile e non 5
direi di si.
0
voti
Ecco una bozza:
considerando di avere dei LED da 20mA e 3,5v e che ogni blocco di pile sia composto da 4 pile da 1,2...1,4 volt l'una (5...5,8v in tutto per blocco),
potrebbe funzionare? quali resistenze (r1 e r2) mi converrebbe inserire?
e come si potrebbe fare ad evitare che l'onda che esce dalla dinamo (il "?1") vada verso il senso che vogliamo noi senza diodi?
e soprattutto, collegando "direttamente" le pile alla dinamo non rischio di sovraccaricarle?
Grazie
considerando di avere dei LED da 20mA e 3,5v e che ogni blocco di pile sia composto da 4 pile da 1,2...1,4 volt l'una (5...5,8v in tutto per blocco),
potrebbe funzionare? quali resistenze (r1 e r2) mi converrebbe inserire?
e come si potrebbe fare ad evitare che l'onda che esce dalla dinamo (il "?1") vada verso il senso che vogliamo noi senza diodi?
e soprattutto, collegando "direttamente" le pile alla dinamo non rischio di sovraccaricarle?
Grazie
0
voti
Riguardo R1 basta raddoppiare il valore di resistenza indicato da mir; quindi un valore commerciale di 4,7Ω / 0.5W dovrebbe fare al caso tuo.
Riguardo i resistori di ramo, puoi permetterti di far cadere ai loro capi circa mezzo volt (dai 9,6V di alimentazione togli 2V per il regolatore e 7V per due LED in serie); quindi 0,5V / 20mA = 25Ω (22Ω commerciale). Più il valore di resistenza è elevato, più la corrente che fluisce nei rami è bilanciato.
Però esagerando rischi di far uscire il circuito integrato di regolazione della corrente dal funzionamento corretto. I LED si accenderebbero ugualmente, ma a quel punto lo sostituisci con un filo e fai prima.
Come già detto, questi resistori puoi anche ometterli; ma non hai più la garanzia che ogni coppia di LED si comporti analogamente; un ramo potrebbe portar via più corrente del ramo vicino, causando luminosità irregolare e aumentando la probabilità di guasto.
Senza integrato sarebbe così:
Ovviamente in tal caso la luminosità cambia in funzione dello stato di carica delle batterie.
Riguardo i resistori di ramo, puoi permetterti di far cadere ai loro capi circa mezzo volt (dai 9,6V di alimentazione togli 2V per il regolatore e 7V per due LED in serie); quindi 0,5V / 20mA = 25Ω (22Ω commerciale). Più il valore di resistenza è elevato, più la corrente che fluisce nei rami è bilanciato.
Però esagerando rischi di far uscire il circuito integrato di regolazione della corrente dal funzionamento corretto. I LED si accenderebbero ugualmente, ma a quel punto lo sostituisci con un filo e fai prima.
Come già detto, questi resistori puoi anche ometterli; ma non hai più la garanzia che ogni coppia di LED si comporti analogamente; un ramo potrebbe portar via più corrente del ramo vicino, causando luminosità irregolare e aumentando la probabilità di guasto.
Senza integrato sarebbe così:
Ovviamente in tal caso la luminosità cambia in funzione dello stato di carica delle batterie.
0
voti
visto che penso che userò molto questo circuito sarei molto propenso a metterlo l'integrato, se pensi che ciò non comporti svantaggi...
Non capisco però perché tu abbia scritto 150 ohm nel disegno
, dal testo mi pareva di aver capito 25 ohm (22 di commerciale), e soprattutto, la 2a uscita dalla dinamo (quella in basso per intenderci), non usa alcun diodo, come può gestire la corrente alternata?
Non capisco però perché tu abbia scritto 150 ohm nel disegno
0
voti
Scusa se ti ho creato confusione in testa... sono un artista in questo.
Le resistenze sono da 150 ohm se non usi l'integrato. Infatti in quello schema l'ho fatto sparire.
Riguardo il "collegamento diretto all'alternata", beh, è solo su un lato. Dall'altro hai il diodo.
Dipendentemente dalla semionda hai acceso un diodo piuttosto che l'altro:
Le frecce rosse indicano come va la corrente; a grandi linee.
Le resistenze sono da 150 ohm se non usi l'integrato. Infatti in quello schema l'ho fatto sparire.
Riguardo il "collegamento diretto all'alternata", beh, è solo su un lato. Dall'altro hai il diodo.
Dipendentemente dalla semionda hai acceso un diodo piuttosto che l'altro:
Le frecce rosse indicano come va la corrente; a grandi linee.
0
voti
Caspita grazie per la spiegazione
sta volta da solo non ci sarei mai arrivato! Lo schema con l'integrato (che mi è parso di capire sia il migliore),
è corretto fatto in questo modo?
P.S. quali sono i PRO e i CONTRO dell'integrato?
è corretto fatto in questo modo?
P.S. quali sono i PRO e i CONTRO dell'integrato?
Torna a Elettrotecnica generale
Chi c’è in linea
Visitano il forum: Nessuno e 49 ospiti

Elettrotecnica e non solo (admin)
Un gatto tra gli elettroni (IsidoroKZ)
Esperienza e simulazioni (g.schgor)
Moleskine di un idraulico (RenzoDF)
Il Blog di ElectroYou (webmaster)
Idee microcontrollate (TardoFreak)
PICcoli grandi PICMicro (Paolino)
Il blog elettrico di carloc (carloc)
DirtEYblooog (dirtydeeds)
Di tutto... un po' (jordan20)
AK47 (lillo)
Esperienze elettroniche (marco438)
Telecomunicazioni musicali (clavicordo)
Automazione ed Elettronica (gustavo)
Direttive per la sicurezza (ErnestoCappelletti)
EYnfo dall'Alaska (mir)
Apriamo il quadro! (attilio)
H7-25 (asdf)
Passione Elettrica (massimob)
Elettroni a spasso (guidob)
Bloguerra (guerra)









