Incuriosito volevo provare a misurare l'accelerazione e decelerazione prima del treno che prendo ogni giorno per andare all'università e poi della mia supercar (non dico il nome perché la potete vedere qui sotto
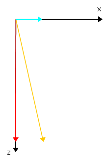
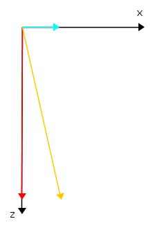
Ovviamente in condizioni di posizionamento perfetto dell'accelerometro, teoricamente monitorando il valore dell'asse X dovrei leggere l'accelerazione del veicolo in cui mi trovo, no? mentre nell'asse Z rilevo costantemente 1g di forza gravitazionale. (per ora lascio perdere il terzo asse Y)
Le cose si complicano almeno per me, quando il macchinista del treno frena bruscamente ed io non riesco a mantenere l'asse X parallelo alla superficie terrestre! questo si verifica per ovvi motivi anche in macchina o in qualsiasi altra occasione:
Cosi facendo non solo l'asse Z, ma anche l'asse X è influenzato dell'attrazione gravitazionale.
Non avendo nessun altro aiuto, tipo giroscopi o quant'altro stavo pensando a come potrei eliminare l'influenza della forza di gravità nel caso il mio asse d'interesse (X) non sia esattamente parallelo all'accelerazione del veicolo.
Posso arrivare a calcolare l'esatta accelerazione del veicolo?
E' almeno teoricamente possibile?
Se mi dite di si, vi mostro quello che ho fatto fino ad ora

Elettrotecnica e non solo (admin)
Un gatto tra gli elettroni (IsidoroKZ)
Esperienza e simulazioni (g.schgor)
Moleskine di un idraulico (RenzoDF)
Il Blog di ElectroYou (webmaster)
Idee microcontrollate (TardoFreak)
PICcoli grandi PICMicro (Paolino)
Il blog elettrico di carloc (carloc)
DirtEYblooog (dirtydeeds)
Di tutto... un po' (jordan20)
AK47 (lillo)
Esperienze elettroniche (marco438)
Telecomunicazioni musicali (clavicordo)
Automazione ed Elettronica (gustavo)
Direttive per la sicurezza (ErnestoCappelletti)
EYnfo dall'Alaska (mir)
Apriamo il quadro! (attilio)
H7-25 (asdf)
Passione Elettrica (massimob)
Elettroni a spasso (guidob)
Bloguerra (guerra)











