Ciao, dove trovo una tastiera due/tre ottave dove collegare i tasti come semplici pulsanti (no MIDI)?
Grazie
Tastiera musicale
Moderatore:
IsidoroKZ
8 messaggi
• Pagina 1 di 1
0
voti
Spiegati meglio, quando dici
e
dovrebbe essere una tastiera di controllo od un sintetizzatore?
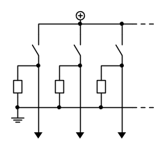
E se fosse una di controllo parli di una "vecchia" tastiera CV/Gate oppure tanti pulsanti tutti divisi tipo questo:

guidonetto ha scritto:dove collegare i tasti come semplici pulsanti
e
guidonetto ha scritto:no MIDI
dovrebbe essere una tastiera di controllo od un sintetizzatore?
E se fosse una di controllo parli di una "vecchia" tastiera CV/Gate oppure tanti pulsanti tutti divisi tipo questo:
Per usare un simulatore devi conoscere più elettronica di lui. [
IsidoroKZ]
40. There are two ways to write error-free programs; only the third one works.
[Alan J. Perlis, Epigrams on Programming]
40. There are two ways to write error-free programs; only the third one works.
[Alan J. Perlis, Epigrams on Programming]
0
voti
Si cerco una tastiera come quella di un sintetizzatore, (FATAR la commercializza, ne sto cercando una simile ad un prezzo più basso) devo collegare i singoli tasti ad altrettanti singoli ingressi, es: 24 tasti (due ottave), 24 ingressi. Adopero un PIC 18f4550.
Grazie
Grazie
-

guidonetto
13 1 5 - Frequentatore

- Messaggi: 124
- Iscritto il: 8 mag 2011, 21:08
0
voti
Hammondx ha scritto:sul sito della Doepfer
Certo che te la vai a cercare per mandarlo in rovina
Personalmente, penso siano un poco esosi, anche se molto meno di altri (vedi Buchla
Le cose degne di essere comprate sono il Dark Energy e i kit. Stop. Per il resto te le fai.
Per usare un simulatore devi conoscere più elettronica di lui. [
IsidoroKZ]
40. There are two ways to write error-free programs; only the third one works.
[Alan J. Perlis, Epigrams on Programming]
40. There are two ways to write error-free programs; only the third one works.
[Alan J. Perlis, Epigrams on Programming]
8 messaggi
• Pagina 1 di 1
Torna a Elettronica e spettacolo
Chi c’è in linea
Visitano il forum: Nessuno e 24 ospiti

Elettrotecnica e non solo (admin)
Un gatto tra gli elettroni (IsidoroKZ)
Esperienza e simulazioni (g.schgor)
Moleskine di un idraulico (RenzoDF)
Il Blog di ElectroYou (webmaster)
Idee microcontrollate (TardoFreak)
PICcoli grandi PICMicro (Paolino)
Il blog elettrico di carloc (carloc)
DirtEYblooog (dirtydeeds)
Di tutto... un po' (jordan20)
AK47 (lillo)
Esperienze elettroniche (marco438)
Telecomunicazioni musicali (clavicordo)
Automazione ed Elettronica (gustavo)
Direttive per la sicurezza (ErnestoCappelletti)
EYnfo dall'Alaska (mir)
Apriamo il quadro! (attilio)
H7-25 (asdf)
Passione Elettrica (massimob)
Elettroni a spasso (guidob)
Bloguerra (guerra)


