ciao volevo sapere come variano le caratteristiche di un diodo schottky in funzione della temperatura (intorno 70°C ).
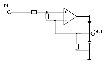
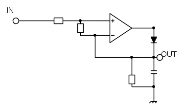
La richiesta nasce perché su questo circuito
all'aumentare della temperatura vedo con l'oscilloscopio (freccia rossa) che l'onda quadra in ingresso inizia a passare quasi inalterata (anche negativa)
Grazie
Diodo vs temperatura
Moderatori:
carloc,
g.schgor,
BrunoValente,
IsidoroKZ
6 messaggi
• Pagina 1 di 1
3
voti
I diodi Schottky hanno una corrente di saturazione inversa piuttosto alta (altrimenti non potrebbero avere una caduta di tensione diretta bassa): se guardi il data sheet del tuo diodo, figura 2 a p. 3, vedi che a 75 °C, con una tensione inversa di 5 V, la corrente di saturazione inversa tipica è di circa 0.1 mA. E chissà quanto vale quella massima, potrebbe essere anche di qualche mA, sufficiente a fare cadere qualche volt su una resistenza dell'ordine del kohm.
Prova a fare una misura della corrente di saturazione inversa del diodo a 70 °C.
Prova a fare una misura della corrente di saturazione inversa del diodo a 70 °C.
It's a sin to write
instead of
(Anonimo).
...'cos you know that
ain't
, right?
You won't get a sexy tan if you write
in lieu of
.
Take a log for a fireplace, but don't take
for
arithm.
instead of
(Anonimo)....'cos you know that
ain't
, right?You won't get a sexy tan if you write
in lieu of
.Take a log for a fireplace, but don't take
for
arithm.-

DirtyDeeds
55,9k 7 11 13 - G.Master EY

- Messaggi: 7012
- Iscritto il: 13 apr 2010, 16:13
- Località: Somewhere in nowhere
0
voti
consigli di effettuare questa misura col circuito in figura o meglio un circuito di test tipo generatore di tensione continua e resistenza e diodo in serie?
si può simulare questo comportamento?
si può simulare questo comportamento?
5
voti
franticEY ha scritto:ciao volevo sapere come variano le caratteristiche di un diodo schottky in funzione della temperatura (intorno 70°C ).
Precisamente, per uno Schottky la densità di corrente di saturazione inversa vale
; questo risultato si ricava dalla legge di Richardson per l'emissione termoionica (
è appunto la costante di Richardson).Per quanto riguarda invece la dipendenza esplicita della caratteristica I-V del diodo dalla temperatura, la formula è quella nota
.EDIT:
Certo, basta avere il modello del diodo, che probabilmente la Vishay pubblica (qua). Altrimenti basta ricavarsi dei parametri approssimati.franticEY ha scritto:si può simulare questo comportamento?
0
voti
Mi sto chiedendo perché usare uno Schottky, che si usa per impieghi di potenza, su un circuito con impedenza dell'ordine dei 10Kohm?
mi rispondo da solo immaginando che ti serva una ridotta caduta di tensione, ma allora perché non usare un 1N4148 in retroazione su un op? otterresti il tuo raddrizzatore con caduta di pochi millivolt.
per esempio questo.
unico problema secondo me potrebbero essere le tensioni massime ragggiungibili all'uscita dell'op, se ti serve raggiungere la piene tensioni 5V e massa potrebbe essere necessaria una alimentazione supplementare per l'op.
mi rispondo da solo immaginando che ti serva una ridotta caduta di tensione, ma allora perché non usare un 1N4148 in retroazione su un op? otterresti il tuo raddrizzatore con caduta di pochi millivolt.
per esempio questo.
unico problema secondo me potrebbero essere le tensioni massime ragggiungibili all'uscita dell'op, se ti serve raggiungere la piene tensioni 5V e massa potrebbe essere necessaria una alimentazione supplementare per l'op.
-

lelerelele
4.899 3 7 9 - Master

- Messaggi: 5505
- Iscritto il: 8 giu 2011, 8:57
- Località: Reggio Emilia
6 messaggi
• Pagina 1 di 1
Chi c’è in linea
Visitano il forum: Nessuno e 237 ospiti

Elettrotecnica e non solo (admin)
Un gatto tra gli elettroni (IsidoroKZ)
Esperienza e simulazioni (g.schgor)
Moleskine di un idraulico (RenzoDF)
Il Blog di ElectroYou (webmaster)
Idee microcontrollate (TardoFreak)
PICcoli grandi PICMicro (Paolino)
Il blog elettrico di carloc (carloc)
DirtEYblooog (dirtydeeds)
Di tutto... un po' (jordan20)
AK47 (lillo)
Esperienze elettroniche (marco438)
Telecomunicazioni musicali (clavicordo)
Automazione ed Elettronica (gustavo)
Direttive per la sicurezza (ErnestoCappelletti)
EYnfo dall'Alaska (mir)
Apriamo il quadro! (attilio)
H7-25 (asdf)
Passione Elettrica (massimob)
Elettroni a spasso (guidob)
Bloguerra (guerra)




