Cos'è ElectroYou | Login Iscriviti

ElectroYou - la comunità dei professionisti del mondo elettrico

Cos'è il lavoro?

Leggi e teorie della fisica

Moderatori: Foto UtenteIsidoroKZ, Foto UtentePietroBaima, Foto UtenteIanero

7
voti

[11] Re: Cos'è il lavoro?

Messaggioda Foto UtentePietroBaima » 7 dic 2013, 11:23

Forse non è chiaro il perché (come potrebbe esserlo...) ma il post qui sopra di Foto UtenteDirtyDeeds vale 1kvoto.

Il concetto di energia e i suoi parenti prossimi sono di quanto più complicato possa esistere in tutta la fisica.
Non perché siano poco intuitivi o contrari all'esperienza comune (come per esempio la relatività) oppure matematicamente pesanti (come la meccanica lagrangiana, per esempio. Quando all'inizio del 900 si parlava già di meccanica quantistica non si sapeva ancora descrivere in modo soddisfacente il corpo rigido in moto), piuttosto perché si riferiscono al "funzionamento" di base dell'universo.

Sono domande, quindi, alla stessa stregua delle grandi domande ontologiche che si pone la filosofia.
Inoltre, lo ripeto spesso, la fisica ha smesso da un po' di tempo di chiedersi che cosa sia un qualcosa perché, a ben pensarci, la domanda è priva di significato.

La domanda "che cos'è una penna a sfera" è una domanda che ha poco senso.
Posso spiegare come funziona, come è fatta, a cosa serve, ma non posso proprio spiegare che cosa sia, se non utilizzando un'altra definizione ("è un oggetto") che può essere accettata oppure no.

Dal punto di vista formalistico matematico, percorrendo questa via, si converge verso i grandi assiomi fondamentali. Gödel avrebbe molto da dire in proposito.

I fisici non sono ancora così fini, purtroppo, ma alle volte un dubbio (forse da crackpot, chissà) mi assale: che l'energia sia un assioma implicitamente assunto? chissà... il Gödel della fisica non è ancora nato.

Ciao,
Pietro.
Generatore codice per articoli:
nomi
Sul forum:
[pigreco]=π
[ohm]=Ω
[quadrato]=²
[cubo]=³
Avatar utente
Foto UtentePietroBaima
90,7k 7 12 13
G.Master EY
G.Master EY
 
Messaggi: 12207
Iscritto il: 12 ago 2012, 1:20
Località: Londra

14
voti

[12] Re: Cos'è il lavoro?

Messaggioda Foto UtenteDirtyDeeds » 7 dic 2013, 14:42

Ianero ha scritto:Il lavoro (e il calore) sono energia, ma più precisamente energia in transito.
:-)


Il concetto di energia in transito è un concetto interessante e che vale la pena approfondire. Consideriamo due sottosistemi di un sistema fisico più ampio: quand'è che possiamo dire che uno dei due sottosistemi trasferisce energia all'altro?

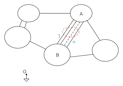
Visto che siamo su EY, e per non allargare troppo il discorso, consideriamo un caso elettrico in cui in una rete di elementi circuitali interconnessi isoliamo due sottoreti A e B, come nella figura qui sotto:



Le due reti A e B sono interconnesse per mezzo dei nodi 1,...,n che vincolano i potenziali e le correnti dei terminali di A e B. I potenziali sono misurati rispetto a un nodo G, genericamente posto.

Quand'è, allora, che possiamo dire che c'è transito di potenza o energia tra A e B attraverso tali terminali? Siano v_1,\ldots,v_n i potenziali dei nodi 1,...,n rispetto a G e siano i_1,\ldots,i_n le correnti ai terminali di B, considerate positive quando sono entranti in B.

Com'è noto dalla teoria dei circuiti, la potenza entrante in un elemento a due terminali è data da p = vi, dove v è la tensione ai capi dell'elemento e i è la corrente entrante, in accordo con la convenzione degli utilizzatori. Potremmo allora essere tentati di generalizzare tale relazione alla rete sopra scrivendo che la potenza transitante da A verso B vale

(1)\quad\quad p = \sum_{k=1}^n v_ki_k

Ha veramente senso fisico questa relazione? I potenziali v_1,\ldots,v_n dipendono dalla posizione del nodo di riferimento G: perché si possa parlare di potenza in transito tra A e B è allora necessario che la (1) sia indipendente dalla scelta del nodo G, ovvero che sia invariante rispetto alla trasformazione dei potenziali v_k\mapsto v_k+V_0. Si ha:

\sum_{k=1}^n v_ki_k = \sum_{k=1}^n (v_k+V_0)i_k = \sum_{k=1}^n v_k i_k+ V_0\sum_{k=1}^n i_k

Per potenziali arbitrari, l'ultimo membro dell'uguaglianza è uguale al primo se e solo se

\sum_{k=1}^n i_k = 0

In una rete qualunque, per un generico insieme di terminali di una sottorete, la relazione sopra non è soddisfatta e non si può parlare di energia entrante nella sottorete attraverso quei terminali. Quando tale relazione è soddisfatta, o per vincoli interni alla sottorete o per vincoli esterni, si dice che gli n terminali formano una porta (così si generalizza il concetto di porta a più di due terminali). E' solo attraverso le porte che si ha transito di energia, non attraverso un insieme arbitrario di terminali.

Per chi volesse approfondire questi concetti, estendendoli anche a sistemi fisici più generali, consiglio la lettura di alcuni interessanti articoli: questo, questo e questo.
It's a sin to write sin instead of \sin (Anonimo).
...'cos you know that cos ain't \cos, right?
You won't get a sexy tan if you write tan in lieu of \tan.
Take a log for a fireplace, but don't take log for \logarithm.
Avatar utente
Foto UtenteDirtyDeeds
55,9k 7 11 13
G.Master EY
G.Master EY
 
Messaggi: 7012
Iscritto il: 13 apr 2010, 16:13
Località: Somewhere in nowhere

0
voti

[13] Cos'è il lavoro?

Messaggioda Foto UtenteRiccardoDesimini » 8 dic 2013, 12:25

Il motivo per cui suppongo non noto il concetto di energia è semplicemente una mia scelta, non è un obbligo. Questa scelta nasce dal fatto che nei testi di Fisica, i quali hanno un approccio didattico alla materia, trattano prima il lavoro e poi l'energia (almeno, quelli che ho consultato io).

Lo scopo della mia domanda è solamente discutere il concetto di lavoro come un qualcosa a sé, in fondo se gli han dato un nome diverso un motivo ci sarà: dalle vostre risposte sembrerebbe che l'unica differenza stia nel fatto che il lavoro è energia in transito.

In definitiva, se proprio volessi parlare di lavoro come un concetto a sé, si potrebbe solo dire che il lavoro è una grandezza fisica che descrive la capacità di una forza di far compiere uno spostamento a un corpo (naturalmente quando tale forza non è ortogonale allo spostamento)?

Ho trovato molto interessanti il post e i link di Foto UtenteDirtyDeeds sul concetto di porta.
Avatar utente
Foto UtenteRiccardoDesimini
10 1 4
 
Messaggi: 27
Iscritto il: 23 nov 2013, 17:26
Località: Milano

0
voti

[14] Re: Cos'è il lavoro?

Messaggioda Foto UtenteIanero » 8 dic 2013, 12:58

Sarebbe curioso altrimenti notare che energia, calore e lavoro si misurano in Joule. :-)
:shock:
Avatar utente
Foto UtenteIanero
8.069 5 8 11
Master EY
Master EY
 
Messaggi: 4320
Iscritto il: 21 mar 2012, 15:47

1
voti

[15] Re: Cos'è il lavoro?

Messaggioda Foto UtenteDirtyDeeds » 8 dic 2013, 14:09

RiccardoDesimini ha scritto:trattano prima il lavoro e poi l'energia (almeno, quelli che ho consultato io).


Discutere il lavoro prima dell'energia può essere un modo di introdurre separatamente il concetto di integrale di linea, probabilmente non ancora (ben) noto agli studenti. In qualunque testo di fisica minimamente più avanzato i concetti di lavoro ed energia sono considerati praticamente in parallelo.

RiccardoDesimini ha scritto:In definitiva, se proprio volessi parlare di lavoro come un concetto a sé


Come ti ho scritto in [10], non ha senso parlare di lavoro come concetto a sé.
It's a sin to write sin instead of \sin (Anonimo).
...'cos you know that cos ain't \cos, right?
You won't get a sexy tan if you write tan in lieu of \tan.
Take a log for a fireplace, but don't take log for \logarithm.
Avatar utente
Foto UtenteDirtyDeeds
55,9k 7 11 13
G.Master EY
G.Master EY
 
Messaggi: 7012
Iscritto il: 13 apr 2010, 16:13
Località: Somewhere in nowhere

0
voti

[16] Cos'è il lavoro?

Messaggioda Foto UtenteRiccardoDesimini » 8 dic 2013, 15:56

Ianero ha scritto:Sarebbe curioso altrimenti notare che energia, calore e lavoro si misurano in Joule. :-)

A proposito di questo apro una piccola parentesi, piccola quanto basta per non andare OT.

1\ {\rm J} = 1\ {\rm N} \cdot {\rm m}, tuttavia {\rm N} \cdot {\rm m} è anche l'unità di misura del momento di una forza, cosa piuttosto curiosa dato che il momento non è energia.

DirtyDeeds ha scritto:Discutere il lavoro prima dell'energia può essere un modo di introdurre separatamente il concetto di integrale di linea, probabilmente non ancora (ben) noto agli studenti. In qualunque testo di fisica minimamente più avanzato i concetti di lavoro ed energia sono considerati praticamente in parallelo.

Beh ma l'integrale di linea è un concetto matematico, possibile che sia solo per quello? In fondo anche in testi meno avanzati bisogna fare della Fisica, anche senza introdurre un concetto così particolare.
Avatar utente
Foto UtenteRiccardoDesimini
10 1 4
 
Messaggi: 27
Iscritto il: 23 nov 2013, 17:26
Località: Milano

1
voti

[17] Re: Cos'è il lavoro?

Messaggioda Foto Utentegotthard » 8 dic 2013, 16:11

RiccardoDesimini ha scritto:A proposito di questo apro una piccola parentesi, piccola quanto basta per non andare OT.

1\ {\rm J} = 1\ {\rm N} \cdot {\rm m}, tuttavia {\rm N} \cdot {\rm m} è anche l'unità di misura del momento di una forza, cosa piuttosto curiosa dato che il momento non è energia.

Il momento di una forza è un vettore, mentre il lavoro, essendo il risultato di un prodotto scalare, è uno scalare.

Per il lavoro si usano i Joule mentre per i momenti di una forza i N \cdot m, proprio per distinguere e far capire che sono due cose diverse.

C'è però la relazione che mette in relazione energia e momento:

E= \tau \theta, dove E è l'energia, \tau l'intensità del momento e \theta l'angolo in questione (in radianti).

Da qui, i momenti si possono misurare anche in Joule per radianti.
...\frac{\mathrm{d} p}{\mathrm{d} t}=JCM... :!:
Avatar utente
Foto Utentegotthard
4.611 2 5 9
Expert EY
Expert EY
 
Messaggi: 1357
Iscritto il: 5 lug 2013, 14:01

4
voti

[18] Re: Cos'è il lavoro?

Messaggioda Foto UtenteIsidoroKZ » 8 dic 2013, 17:21

Ianero ha scritto:Sarebbe curioso altrimenti notare che energia, calore e lavoro si misurano in Joule. :-)


In realta` in joule, con la minuscola :-) E l'unita` si pronuncia giùl, NON giàul come si sente molto spesso!
Per usare proficuamente un simulatore, bisogna sapere molta più elettronica di lui
Plug it in - it works better!
Il 555 sta all'elettronica come Arduino all'informatica! (entrambi loro malgrado)
Se volete risposte rispondete a tutte le mie domande
Avatar utente
Foto UtenteIsidoroKZ
121,2k 1 3 8
G.Master EY
G.Master EY
 
Messaggi: 21059
Iscritto il: 17 ott 2009, 0:00

0
voti

[19] Re: Cos'è il lavoro?

Messaggioda Foto UtenteNarcolex » 8 dic 2013, 17:30

- OT -

La peggiore invenzione che la mente umana abbia mai partorito.

O_/ O_/ O_/ O_/
Avatar utente
Foto UtenteNarcolex
705 1 5 6
Expert
Expert
 
Messaggi: 926
Iscritto il: 9 mar 2013, 23:32

0
voti

[20] Re: Cos'è il lavoro?

Messaggioda Foto UtenteDR1 » 8 dic 2013, 17:34

Lavoro= energia impiegata per compire un azione(attivare un circuito, lanciare una pallina,ecc...).
Avatar utente
Foto UtenteDR1
385 2 4 7
Sostenitore
Sostenitore
 
Messaggi: 1092
Iscritto il: 16 ago 2012, 12:54

PrecedenteProssimo

Torna a Fisica generale

Chi c’è in linea

Visitano il forum: Nessuno e 31 ospiti