Salve a tutti,
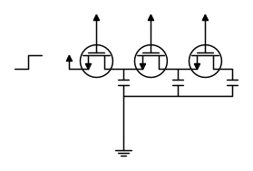
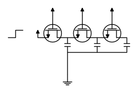
nel circuito seguente i condensatori modellano tutte le capacità in gioco. Se si chiede di determinare una stima del tempo di propagazione nel caso in cui l'ingresso passi da 0 al valore logico alto ( lo stesso sui gate dei mosfet ) utilizzando la formula approssimata di Elmore, che valore uso per le resistenze dei mosfet? ( il mosfet è modellato come resistenza + interruttore )
Resistenza Pass-Transistor
Moderatori:
carloc,
g.schgor,
BrunoValente,
IsidoroKZ
10 messaggi
• Pagina 1 di 1
0
voti
Ciao.
I miei ricordi di microelettronica sono ormai molto sbiaditi, ma se non ricordo male la resistenza per il modello dipende innanzitutto dalla larghezza del canale.
Ciao
PSQ
I miei ricordi di microelettronica sono ormai molto sbiaditi, ma se non ricordo male la resistenza per il modello dipende innanzitutto dalla larghezza del canale.
Ciao
PSQ
_-^-_-^-_-^-_-^-_-^-_-^-_-^-_-^-_-^-_-^-_-^-_-^-_-^-_-^-_
Pepito Sbazzeguti
"gratta il Pepito e troverai il Pepone"
Pepito Sbazzeguti
"gratta il Pepito e troverai il Pepone"
0
voti
Il gradino entra all'estrema sinistra. Le tensioni sui gate dei mosfet sono riferite a massa.
Ma se durante la carica varia la regione di funzionamento dei transistori, quale resistenza utilizzo nella formula di Elmore?
Ma se durante la carica varia la regione di funzionamento dei transistori, quale resistenza utilizzo nella formula di Elmore?
-

slashino
378 2 5 7 - CRU - Account cancellato su Richiesta utente
- Messaggi: 528
- Iscritto il: 15 mag 2012, 17:15
0
voti
Io proverei a separare il problema per le due regioni di funzionamento.
Per la saturazione avrai la Rds ON, per la regione ohmica probabilmente dovrai integrare... penso
Come ti dicevo sono passati un po' di anni dal corso di Microelettronica....
ciao
PSQ
Per la saturazione avrai la Rds ON, per la regione ohmica probabilmente dovrai integrare... penso
Come ti dicevo sono passati un po' di anni dal corso di Microelettronica....
ciao
PSQ
_-^-_-^-_-^-_-^-_-^-_-^-_-^-_-^-_-^-_-^-_-^-_-^-_-^-_-^-_
Pepito Sbazzeguti
"gratta il Pepito e troverai il Pepone"
Pepito Sbazzeguti
"gratta il Pepito e troverai il Pepone"
0
voti
Ma come risolvere il problema analiticamente è chiaro.
Il punto è come dare una stima veloce utilizzando la formula di Elmore, ovvero capire che valore di resistenza costante associare a quei mosfet...
Il punto è come dare una stima veloce utilizzando la formula di Elmore, ovvero capire che valore di resistenza costante associare a quei mosfet...
-

slashino
378 2 5 7 - CRU - Account cancellato su Richiesta utente
- Messaggi: 528
- Iscritto il: 15 mag 2012, 17:15
0
voti
slashino ha scritto:Ma come risolvere il problema analiticamente è chiaro.
Il punto è come dare una stima veloce utilizzando la formula di Elmore, ovvero capire che valore di resistenza costante associare a quei mosfet...
Beh, direi che ti servono i dati dei mosfet...
ciao
PSQ
_-^-_-^-_-^-_-^-_-^-_-^-_-^-_-^-_-^-_-^-_-^-_-^-_-^-_-^-_
Pepito Sbazzeguti
"gratta il Pepito e troverai il Pepone"
Pepito Sbazzeguti
"gratta il Pepito e troverai il Pepone"
0
voti
..tempo di propagazione da dove a dove? suppongo l'uscita sul drain dell'ultimo MOS a destra?
a cosa sono collegati i gates? suppongo a massa...?
se le supposizioni sono giuste, quando il segnale a gradino compare accende il primmo MOS, che carica la prima C, che accende il secondo e così via. Visto che le varie capacità si caricano (circa) una alla volta, e visto che ti serve una stima "a occhio", puoi considerare la R di accoppiamento sempre infinita, la R di carica sempre uguale a Ron. Nella formula di Elmore, quindi, utilizza il weak coupling con resistenza di carico infinita.
banalmente viene:

Supponendo le Ron e le C tutte uguali.
Ciao
Obi
a cosa sono collegati i gates? suppongo a massa...?
se le supposizioni sono giuste, quando il segnale a gradino compare accende il primmo MOS, che carica la prima C, che accende il secondo e così via. Visto che le varie capacità si caricano (circa) una alla volta, e visto che ti serve una stima "a occhio", puoi considerare la R di accoppiamento sempre infinita, la R di carica sempre uguale a Ron. Nella formula di Elmore, quindi, utilizza il weak coupling con resistenza di carico infinita.
banalmente viene:

Supponendo le Ron e le C tutte uguali.
Ciao
Obi
_______________________________________________________
Gli oscillatori non oscillano mai, gli amplificatori invece sempre
Io HO i poteri della supermucca, e ne vado fiero!
Gli oscillatori non oscillano mai, gli amplificatori invece sempre
Io HO i poteri della supermucca, e ne vado fiero!
10 messaggi
• Pagina 1 di 1
Chi c’è in linea
Visitano il forum: Nessuno e 41 ospiti

Elettrotecnica e non solo (admin)
Un gatto tra gli elettroni (IsidoroKZ)
Esperienza e simulazioni (g.schgor)
Moleskine di un idraulico (RenzoDF)
Il Blog di ElectroYou (webmaster)
Idee microcontrollate (TardoFreak)
PICcoli grandi PICMicro (Paolino)
Il blog elettrico di carloc (carloc)
DirtEYblooog (dirtydeeds)
Di tutto... un po' (jordan20)
AK47 (lillo)
Esperienze elettroniche (marco438)
Telecomunicazioni musicali (clavicordo)
Automazione ed Elettronica (gustavo)
Direttive per la sicurezza (ErnestoCappelletti)
EYnfo dall'Alaska (mir)
Apriamo il quadro! (attilio)
H7-25 (asdf)
Passione Elettrica (massimob)
Elettroni a spasso (guidob)
Bloguerra (guerra)






che relazione analitica uso( la formula insomma