Filtri digitali
Moderatore:
jordan20
27 messaggi
• Pagina 2 di 3 • 1, 2, 3
2
voti
[12] Re: Filtri digitali
Se i
rappresentano un filo logico nel caso si ricerchi un "1" nella sequenza ed una negazione logica se si ricerca uno "0" nella sequenza quale sara' il risultato in uscita quando l'header ha caricato completamente il filtro FIR ?
rappresentano un filo logico nel caso si ricerchi un "1" nella sequenza ed una negazione logica se si ricerca uno "0" nella sequenza quale sara' il risultato in uscita quando l'header ha caricato completamente il filtro FIR ?Ingegneria : alternativa intelligente alla droga.
-

dimaios
30,2k 7 10 12 - G.Master EY

- Messaggi: 3381
- Iscritto il: 24 ago 2010, 14:12
- Località: Behind the scenes
0
voti
[14] Re: Filtri digitali
Il prof sale in cattedra, grande dimaios, ma potremmo fare un passetto indietro? NOn che non abbia capito il senso delle tue parole ma mi sfugge qualcosa
0
voti
[16] Re: Filtri digitali
lo so che ha fatto una domanda ma non saprei rispondere se così posta, per quello forse mi manca qualcosa e chiedevo di fare un passo indietro.
1
voti
[17] Re: Filtri digitali
Se il preambolo da identificare e' :
p = 100100100
Ovvero una parola di 9 bit.

Costruisco la seguente funzione :

Quanto vale la funzione per
?
E per
?
p = 100100100
Ovvero una parola di 9 bit.

Costruisco la seguente funzione :

Quanto vale la funzione per
?E per
?Ingegneria : alternativa intelligente alla droga.
-

dimaios
30,2k 7 10 12 - G.Master EY

- Messaggi: 3381
- Iscritto il: 24 ago 2010, 14:12
- Località: Behind the scenes
0
voti
[18] Re: Filtri digitali
Per pi = p ottengo il massimo valore (ovvero in qualche modo la massima correlazione suppongo), per gli altri valori avrò comunque sempre livello di uscita inferiore.
1
voti
[19] Re: Filtri digitali
Si. Quindi si tratta di implementare uno schema che realizzi quella funzione.
Ora tornando allo schema iniziale potresti fare due cose.
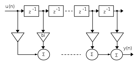
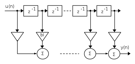
1. Utilizzare uno schema complessivo nel quale i "pesi" sono delle operazioni logiche.
2. Dividere lo schema in due parti dove i pesi invece sono dei numeri reali.
Il primo te l'ho disegnato al post [12].
Sapresti proporre una possibile configurazione per il 2. ?
Ora tornando allo schema iniziale potresti fare due cose.
1. Utilizzare uno schema complessivo nel quale i "pesi" sono delle operazioni logiche.
2. Dividere lo schema in due parti dove i pesi invece sono dei numeri reali.
Il primo te l'ho disegnato al post [12].
Sapresti proporre una possibile configurazione per il 2. ?
Ingegneria : alternativa intelligente alla droga.
-

dimaios
30,2k 7 10 12 - G.Master EY

- Messaggi: 3381
- Iscritto il: 24 ago 2010, 14:12
- Località: Behind the scenes
0
voti
[20] Re: Filtri digitali
Lavorando puramente in digitale il problema sembrerebbe abbastanza semplice da risolvere, ma il mio problema è che in ricezione avrò un segnale a potenza media non nota a priori perché ogni trama mi arriverà da una distanza diversa (anche di decine di km) per cui devo capire come associare un segnale a potenza media ai campioni di puro rumore (livello 0).
27 messaggi
• Pagina 2 di 3 • 1, 2, 3
Chi c’è in linea
Visitano il forum: Nessuno e 11 ospiti

Elettrotecnica e non solo (admin)
Un gatto tra gli elettroni (IsidoroKZ)
Esperienza e simulazioni (g.schgor)
Moleskine di un idraulico (RenzoDF)
Il Blog di ElectroYou (webmaster)
Idee microcontrollate (TardoFreak)
PICcoli grandi PICMicro (Paolino)
Il blog elettrico di carloc (carloc)
DirtEYblooog (dirtydeeds)
Di tutto... un po' (jordan20)
AK47 (lillo)
Esperienze elettroniche (marco438)
Telecomunicazioni musicali (clavicordo)
Automazione ed Elettronica (gustavo)
Direttive per la sicurezza (ErnestoCappelletti)
EYnfo dall'Alaska (mir)
Apriamo il quadro! (attilio)
H7-25 (asdf)
Passione Elettrica (massimob)
Elettroni a spasso (guidob)
Bloguerra (guerra)



