Freezix ha scritto:...Spero sia giusto:
Si, sostanzialmente è corretto

ma la somma di Vr e Vc dovrà essere pari a V.
Il modulo della tensione Vr sarà molto più grande di quello di Vc (100 volte), i due fasori saranno in quadratura (sfasati di 90°) e quindi Vr sarà sfasato in anticipo rispetto alla V del GIT di un angolo piccolo ma non nullo (circa 1/100 di radiante), pari a quello fra Vc e il semiasse negativo immaginario; esagerando l'angolo, e il modulo di Vc, che risulterebbero pressochè invisibili in una corretta scala, vista la assurda pulsazione scelta dallo stesore del problema

, avremo qualcosa del genere
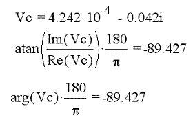
A questo punto, visto che la tensione del GIT al tempo zero risulta pari al suo valore massimo v(0-)=Vmax, potremo "leggere" detto valore sul diagramma fasoriale proprio come misura della
componente reale del fasore corrispondente, ne segue che quel metodo vale anche per i fasori associati a V, ovvero Vr e Vc: il primo avrà una tensione istantanea vr(0-) praticamente uguale a V mentre il secondo avrà una tensione istantanea praticamente nulla vc(0-)= 0.4 mV; la somma dei due valori istantanei sarà comunque pari al valore massimo del GIT ... vr(0-)+vc(0-)=v(0-)=Vmax.

- 2014-04-19_124203.png (22.81 KiB) Osservato 4112 volte