Cos'è ElectroYou | Login Iscriviti

ElectroYou - la comunità dei professionisti del mondo elettrico

Ridurre tensione e corrente

Elettronica lineare e digitale: didattica ed applicazioni

Moderatori: Foto Utentecarloc, Foto Utenteg.schgor, Foto UtenteBrunoValente, Foto UtenteIsidoroKZ

0
voti

[1] Ridurre tensione e corrente

Messaggioda Foto Utentesavo98 » 24 ott 2015, 14:41

Salve. Sono nuovo qui.
Ho 17 anni e faccio una scuola di elettronica/meccanica.
Volevo chiedervi..
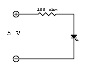
A casa ho un led bianco(ho letto su internet che si accende con 3.3 v e 20mA,ditemi voi se può essere vera).
Ho un alimentazione di 5 v(presa da un alimentatore per telefoni) e una corrente di 500 mA.
Come faccio a portare al led una tensione di 3.3 v e una corrente di 20 mA?
Grazie mille mille mille O_/
Avatar utente
Foto Utentesavo98
59 2 6
Frequentatore
Frequentatore
 
Messaggi: 135
Iscritto il: 23 ott 2015, 20:33

1
voti

[2] Re: Ridurre tensione e corrente

Messaggioda Foto Utentesimo85 » 24 ott 2015, 14:52

savo98 ha scritto:Come faccio a portare al led una tensione di 3.3 v e una corrente di 20 mA?

3.3 V è la tensione di polarizzazione diretta, la impone il LED stesso..
20 mA è tipicamente la massima corrente sopportata dal LED per la dissipazione di potenza. Meglio sempre stare un po' al di sotto.

Comunque cosi:

Avatar utente
Foto Utentesimo85
30,9k 7 12 13
Disattivato su sua richiesta
 
Messaggi: 9927
Iscritto il: 30 ago 2010, 4:59

1
voti

[3] Re: Ridurre tensione e corrente

Messaggioda Foto UtenteFedericoSibona » 24 ott 2015, 14:57

Fai così:


----------------------------------------------------------------------------------------------

Strano, dando invio non mi ha avvisato che c'era già una risposta ;-)
Avatar utente
Foto UtenteFedericoSibona
5.022 3 5 8
Master
Master
 
Messaggi: 3951
Iscritto il: 19 mar 2013, 11:43

0
voti

[4] Re: Ridurre tensione e corrente

Messaggioda Foto Utentesavo98 » 24 ott 2015, 14:59

Non bisogna mettere dei diodi(per ridurre la tensione? Non so,non sono esperto in materia e chiedo a voi) ?
E la resistenza non dovrebbe essere 150 ohm?
3.3/150=22 mA
(O forse anche un po piu alta la resistenza)
Avatar utente
Foto Utentesavo98
59 2 6
Frequentatore
Frequentatore
 
Messaggi: 135
Iscritto il: 23 ott 2015, 20:33

0
voti

[5] Re: Ridurre tensione e corrente

Messaggioda Foto Utentesimo85 » 24 ott 2015, 15:05

savo98 ha scritto:Non bisogna mettere dei diodi(per ridurre la tensione?

No. I diodi non sono fatti per ridurre la tensione. Non è buona idea quella di mettere i diodi per abbassare la tensione.

savo98 ha scritto:E la resistenza non dovrebbe essere 150 ohm?

No. I 3.3 V sono imposti dal LED.

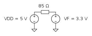
Vedila cosi, modellando il LED come un generatore di tensione che ai suoi capi ha 3.3 V.
Quanto vale la corrente che scorre attraverso il resistore da 85 ohm ?

Avatar utente
Foto Utentesimo85
30,9k 7 12 13
Disattivato su sua richiesta
 
Messaggi: 9927
Iscritto il: 30 ago 2010, 4:59

0
voti

[6] Re: Ridurre tensione e corrente

Messaggioda Foto Utentesavo98 » 24 ott 2015, 15:14

Scusami simo non riesco a capire tanto bene. Di elettronica abbiamo fatto molto ma molto poco per via dei professori che non hanno mai voglia di fare niente.
Se io faccio due calcoli sullo schema che hai fatto tu
I= V/R = 3.3/85= 38 mA
Ma se il led ne accetta massimo 20mA?
Non riesco a capire come far arrivare 3.3 v e 20 mA al led.
Vi giuro,se non mi insegnate voi non capirò mai.. Mi piace tantissimo l'elettronica ma ne spiegano pochissima :cry:
Allegati
Screenshot_2015-10-24-15-18-30.png
Avatar utente
Foto Utentesavo98
59 2 6
Frequentatore
Frequentatore
 
Messaggi: 135
Iscritto il: 23 ott 2015, 20:33

1
voti

[7] Re: Ridurre tensione e corrente

Messaggioda Foto UtenteFedericoSibona » 24 ott 2015, 15:21

La tensione ai capi del resistore è 5 V - 3,3 V = 1,7 V. Quindi la corrente circolante è 1,7 V : 85 Ω = 0,02 A ;-)
Avatar utente
Foto UtenteFedericoSibona
5.022 3 5 8
Master
Master
 
Messaggi: 3951
Iscritto il: 19 mar 2013, 11:43

0
voti

[8] Re: Ridurre tensione e corrente

Messaggioda Foto Utentesavo98 » 24 ott 2015, 15:24

Scusatemi davvero per i miei dubbi.. Mi perdonate? Ahah

Perche 1.7 v se al mio led bianco servono 3.3 v per accendersi?
Avatar utente
Foto Utentesavo98
59 2 6
Frequentatore
Frequentatore
 
Messaggi: 135
Iscritto il: 23 ott 2015, 20:33

2
voti

[9] Re: Ridurre tensione e corrente

Messaggioda Foto Utentesimo85 » 24 ott 2015, 15:25

savo98 ha scritto:I = V/R = 3.3/85= 38 mA

Eh no. Hai due tensioni in quel circuito, una maggiore dell'altra.

Mi sembra che non abbiate fatto analisi dei circuiti, comunque provo a spiegarlo.

Ti ho proposto di modellare il LED come un generatore di tensione perché, per il suo comportamento, ai suoi capi avrá sempre una tensione VF.
Questo non vuol dire che il LED si possa usare come una batteria o chissà cosa.

In quel circuito la corrente vale, come scritto da Foto UtenteFedericoSibona:

I_F = {V_{DD} - V_{F} \over R} = {(5 - 3.3)\,\mathrm V \over 85\,\Omega} = 20\,\mathrm{mA}

Se non ti è chiaro il concetto della tensione di polarizzazione diretta VF, alimenta il LED con una corrente di qualche mA, e misura la tensione ai suoi capi, appunto VF, magari per LED di colori diversi.

O_/
Avatar utente
Foto Utentesimo85
30,9k 7 12 13
Disattivato su sua richiesta
 
Messaggi: 9927
Iscritto il: 30 ago 2010, 4:59

3
voti

[10] Re: Ridurre tensione e corrente

Messaggioda Foto UtenteSjuanez » 24 ott 2015, 15:25

savo98 ha scritto:Vi giuro,se non mi insegnate voi non capirò mai.. Mi piace tantissimo l'elettronica ma ne spiegano pochissima :cry:


Ecco la soluzione a tutti i tuoi dubbi, almeno per un po ;-)
http://www.hp64000.net/resources/Jackso ... entale.pdf

Nello specifico, sul led guarda che bell'articolo ti ho trovato ;-) :
http://www.electroyou.it/g.schgor/wiki/articolo10

Buona illuminazione!
O_/ O_/ O_/
Più so e più mi accorgo di non sapere.

Qualsiasi cosa abbia scritto, tieni presente che sono ancora al mio primo rocchetto di stagno.
Avatar utente
Foto UtenteSjuanez
11,3k 6 8 13
G.Master EY
G.Master EY
 
Messaggi: 3479
Iscritto il: 18 mar 2015, 13:48

Prossimo

Torna a Elettronica generale

Chi c’è in linea

Visitano il forum: Nessuno e 54 ospiti