Anche se la sostanza non cambia, prima ancora di risponderti
novizio correggo un paio di imprecisioni del post precedente, che ho notato adesso rileggendomi.
Gost91 ha scritto:Campionamento ideale[...] Tanto per fissare le idee, supponiamo (ad esempio) che il segnale analogico di partenza abbia spettro triangolare e banda 2B, cioè
Supponiamo inoltre che siano soddisfatte le ipotesi del teorema di campionamento, ad esempio per

, allora lo spettro del segnale campionato è il seguente:
Il grafico corretto è questo
Gost91 ha scritto:Campionamento naturale[...] la curva inviluppo in chiaro è il prolungamento continuo di

, ossia

.
ad essere più precisi il prolungamento continuo, per questioni dimensionali, si ottiene formalmente sostituendo l'argomento
adimensionale discreto

con l'argomento ancora
adimensionale ma continuo

, dove k è una costante, anche unitaria, delle dimensioni di un tempo:

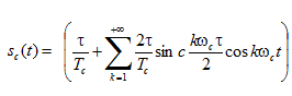
Gost91 ha scritto:Campionamento ZOH[...] e può essere riscritta nel seguente modo
![\begin{aligned}s_\text{c}(t) =\sum_{n\in\mathbb{Z}}s_\text{a}[n] \, \text{rect}\left(\frac{t-nT_c}{\tau}\right) &=\sum_{n\in\mathbb{Z}}s_\text{a}[n] \, \text{rect}\left(\frac{t-nT_c}{\tau}\right)*\delta(t-n T_c) \\
&=\sum_{n\in\mathbb{Z}}s_\text{a}[n]\delta(t-n T_c)* \text{rect}\left(\frac{t-nT_c}{\tau}\right)
\end{aligned} \begin{aligned}s_\text{c}(t) =\sum_{n\in\mathbb{Z}}s_\text{a}[n] \, \text{rect}\left(\frac{t-nT_c}{\tau}\right) &=\sum_{n\in\mathbb{Z}}s_\text{a}[n] \, \text{rect}\left(\frac{t-nT_c}{\tau}\right)*\delta(t-n T_c) \\
&=\sum_{n\in\mathbb{Z}}s_\text{a}[n]\delta(t-n T_c)* \text{rect}\left(\frac{t-nT_c}{\tau}\right)
\end{aligned}](/forum/latexrender/pictures/39433271ebdcf143caa82514597726f0.png)
l'ultimo passaggio è fuorviante, mi sono tirato dietro troppa roba. Una versione migliore
![\begin{aligned}s_\text{c}(t) =\sum_{n\in\mathbb{Z}}s_\text{a}[n] \, \text{rect}\left(\frac{t-nT_c}{\tau}\right) &=\sum_{n\in\mathbb{Z}}s_\text{a}[n] \, \text{rect}\left(\frac{t-nT_c}{\tau}\right)*\delta(t-n T_c) \\
&=\sum_{n\in\mathbb{Z}}s_\text{a}[n]\delta(t-n T_c)* \text{rect}\left(\frac{t}{\tau}\right)
\end{aligned} \begin{aligned}s_\text{c}(t) =\sum_{n\in\mathbb{Z}}s_\text{a}[n] \, \text{rect}\left(\frac{t-nT_c}{\tau}\right) &=\sum_{n\in\mathbb{Z}}s_\text{a}[n] \, \text{rect}\left(\frac{t-nT_c}{\tau}\right)*\delta(t-n T_c) \\
&=\sum_{n\in\mathbb{Z}}s_\text{a}[n]\delta(t-n T_c)* \text{rect}\left(\frac{t}{\tau}\right)
\end{aligned}](/forum/latexrender/pictures/a42c8189f1c15d093e978e73c9934eb6.png)
definendo
si conclude che

Il grafico della risposta in fase di H(f) è errato in quanto non è lineare a tratti, ma bensì costante a tratti in quanto

pertanto, tenendo conto del fatto che il diagramma di fase di una funzione reale è simmetrico, è
Bene, vengo adesso alle questioni irrisolte.
novizio ha scritto:Nel testo da cui ho tratto le figure che ho pubblicato nel mio secondo intervento si afferma che il campionamento flat-top produce una distorsione che è funzione della frequenza.
Non trovando la giustificazione teorica di questa affermazione[/user]
Come già osservato nel post precedente, il termine "distorsione" è da leggersi come "variazione di forma dello spettro", da leggersi ancora come "non proporzionalità tra spettro del segnale campionato e spettro del segnale da campionare".
Questo fatto si legge nella linearità della trasformata di Fourier, infatti se due segnali hanno spettri tra lo proporzionali, allora i segnali stessi sono proporzionali tra loro (quindi hanno la stessa "forma").
Viceversa, se due segnali hanno spettri tra loro non proporzionali allora i due segnali non sono proporzionali tra loro (quindi non hanno la stessa "forma"-leggi distorsione).
Un altro modo di vederla è: se due spettri non sono tra loro proporzionali allora uno dei due segnali ha delle componenti armoniche più o meno esaltate rispetto le componenti armoniche dell'altro.
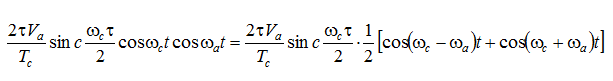
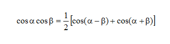
Veniamo a noi. Ora, per quanto riguarda il campionamento ZOH si è trovato la seguente relazione che caratterizza lo spettro del segnale campionato

tagliamo via gli alias, che non ci interessano, applicando un filtro in banda base (di anti-aliasing):
![S_\text{c}'(f)=\bigg[\frac{\tau}{T_c}\text{sinc}(\tau f) \sum_{n\in\mathbb{Z}}S_{\text{a}}(f-n/T_c)\bigg ]\,\text{rect}\left(\frac{f}{2B}\right)=\frac{\tau}{T_c}\text{sinc}(\tau f) S_{\text{a}}(f) S_\text{c}'(f)=\bigg[\frac{\tau}{T_c}\text{sinc}(\tau f) \sum_{n\in\mathbb{Z}}S_{\text{a}}(f-n/T_c)\bigg ]\,\text{rect}\left(\frac{f}{2B}\right)=\frac{\tau}{T_c}\text{sinc}(\tau f) S_{\text{a}}(f)](/forum/latexrender/pictures/1cfdb705fbea1c4f1d48ce626d31a80a.png)
bene, abbiamo ora una relazione che lega lo spettro del segnale campionato e lo spettro (privato, per mezzo del precedente filtraggio, delle repliche non in banda base) del segnale da campionare.
Sono tra loro proporzionali? Risposta:
no! - il loro rapporto non è costante in quanto dipende dalla frequenza

ti faccio notare che

, ossia il duty cicle del treno di impulsi che pilota il campionamento, è un parametro di progetto, quindi da considerare costante.
Insomma, i due spettri non sono proporzionali, quindi lo ZOH è intrinsecamente (leggi "anche senza errore di aliasing") distorcente.
fantomatico libro ha scritto:il campionamento flat-top produce una distorsione che è funzione della frequenza.
E come si quantifica la distorsione? a mio modesto avviso, o c'è distorsione o non c'è distorsione (ora o=xor

).
Al più quello che si può dire è che
quasi non c'è distorsione. Come già osservato nel post precedente, quanto la durata dell'impulso è piccola (rispetto alla banda del segnale da campionare), si può dire che la distorsione è trascurabile in quanto il fattore di distorsione

.
Nota però che allo stesso tempo anche il rapporto tra i due spettri tende a 0, dunque è anche necessario amplificare il segnale campionato al fine di ottenere un buon campionamento.
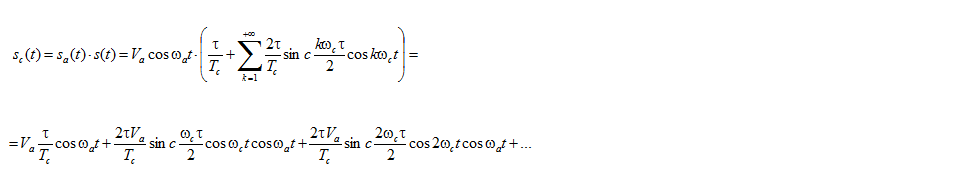
novizio ha scritto:Sono partito, per fissare le idee, da un segnale analogico semplice: un segnale armonico.
Parliamo allora della risposta armonica del campionatore ZOH. Riprendiamo in considerazione, per semplicità, il sistema dato dalla cascata di uno ZOH e di un filtro di anti-aliasing.
Il rapporto tra l'ingresso e l'uscita definisce la funzione di trasferimento del sistema, che se valutata sull'asse immaginario si riduce alla risposta armonica del sistema ZOH+filtro anti-aliasing.
Per quanto appena detto la risposta armonica del sistema allora è proprio

In accordo al
teorema della risposta armonica, si può scrivere che

quando l'ingresso è

. Se ho capito bene, questa relazione esprime quanto volevi provare:
l'ampiezza dell'uscita dipende dalla frequenza attraverso
, quindi il sistema distorce in ampiezza spero di aver districato il dubbio.
novizio ha scritto:Quindi ho supposto di campionarlo con un treno di impulsi di ampiezza unitaria (Ap=1), con periodo uguale al periodo di campionamento, Tc, e con una certa durata dell'impulso, tau.
Non ho ancora ricontrollato il tuo calcolo e il tuo ragionamento, in quanto già dalle premesse è impreciso.
Per prima cosa ti devi assicurare di non aver errore di aliasing, altrimenti a conti fatti, anche se corretti, potresti giungere a conclusioni fuorvianti.
Se il dubbio non l'ho risolto, riprova a ragionare nell'ipotesi che sia soddisfatto il teorema del campionamento.