Cos'è ElectroYou | Login Iscriviti

ElectroYou - la comunità dei professionisti del mondo elettrico

Controllo PID

PLC, servomotori, inverter...robot

Moderatori: Foto Utentedimaios, Foto Utentecarlomariamanenti

0
voti

[1] Controllo PID

Messaggioda Foto UtenteUgoMela94 » 14 lug 2016, 22:48

Salve,
sto studiando per un esame molto 'strano', nel senso che sono stati accennati di striscio molti concetti che presuppongono basi che (non per mia mancanza, ma poiché non inseriti nel piano di studi) non ho.

Vi scrivo alcune perplessità con la speranza che mi possiate rispondere.
In merito ad un controllo di tipo PID vengono fatti i seguenti passaggi che non riesco a capire. Si considera un sistema a 1 gdl del tipo massa, molla smorzatore.

Immagine

Come si passa dalla prima alla seconda equazione sotto riportate?

Immagine

Poi in merito alla funzione di trasferimento del sistema sopra riportata, si tracciano i poli della stessa ottenendo il grafico di sotto. So che i poli sono dei numeri complessi dove la parte reale è legata alla stabilità del sistema mentre la parte immaginaria è una frequenza; il problema è quale frequenza??
Cioè in riferimento al sistema meccanico massa molla smorzatore cosa rappresenta questa frequenza, ovvero la parte immaginaria degli autovalori della funzione di trasferimento?


Immagine
Avatar utente
Foto UtenteUgoMela94
5 2
 
Messaggi: 20
Iscritto il: 14 lug 2016, 21:20

0
voti

[2] Re: Controllo PID

Messaggioda Foto UtenteDanteCpp » 15 lug 2016, 8:27

Scrivi le formule con \LaTeX, come ora non si vedono neanche interamente.
Avatar utente
Foto UtenteDanteCpp
4.730 3 9 13
Master EY
Master EY
 
Messaggi: 1106
Iscritto il: 15 dic 2011, 18:51

2
voti

[3] Re: Controllo PID

Messaggioda Foto Utenteg.schgor » 15 lug 2016, 9:57

A parte la scrittura delle formule, occorre chiarire come
il regolatore agisce sulla massa m (cioè come viene applicata la forza Fc(t )),
e il tipo di regolatore impiegato (dichiarato PID, ma trattato nelle formule
come semplice proporzionale (kp).

Puoi chiarire?
Avatar utente
Foto Utenteg.schgor
57,8k 9 12 13
G.Master EY
G.Master EY
 
Messaggi: 16971
Iscritto il: 25 ott 2005, 9:58
Località: MILANO

0
voti

[4] Re: Controllo PID

Messaggioda Foto UtenteUgoMela94 » 15 lug 2016, 16:00

Riformulo il mio quesito sperando di essere più chiaro.

Nelle formule che ho scritto il controllo è di tipo solo proporzionale, tuttavia i dubbi che ho per questo tipo di controllo possono essere estesi, in modo analogo, a quello proporzionale-derivativo e proporzionale-integrale.

Le formule sono queste
m\ddot{x}+\sigma\dot{x}+kx=k_p e (oscillatore armonico con controllo proporzionale e=x_{rif}-x)
[m*s^2+ \sigma s+(k+k_p)]Y(s)=k_p R(s) (Conversione della precedente equazione del dominio di Laplace) (2)

Il primo dubbio che ho, riguarda il motivo per cui si è inglobato nel termine k [ovvero nel termine che moltiplica x nel dominio del tempo] della (2) anche k_p e poi si è scritto al secondo membro della (2) la funzione di trasferimento $R(s)$.
La R(s) non è la funzione di trasferimento della x_{rif}-x e non solo di x_{rif}? Quel K_p non è di troppo?

Il secondo dubbio riguarda la parte immaginaria dei poli della funzione di trasferimento (o se preferite la parte immaginaria degli autovalori della matrice di stato). Che cosa rappresentano "praticamente" nel sistema che stiamo studiando? so che si tratta di una frequenza, ma il dubbio è quale frequenza?? Questo, penso, mi permetterà anche di capire perché aumentando il guadagno i poli della FdT si spostano come riportato.

Grazie
Avatar utente
Foto UtenteUgoMela94
5 2
 
Messaggi: 20
Iscritto il: 14 lug 2016, 21:20

3
voti

[5] Re: Controllo PID

Messaggioda Foto Utenteg.schgor » 15 lug 2016, 22:03

Non hai risposto alla mia domanda ed il modo migliore per farlo sarebbe
uno schema a blocchi del sistema che intendi controllare.
Non sarebbe male definire anche i valori dei vari parametri in gioco,
in modo da arrivare a risultati concreti del comportamento del
sistema stesso.
Per la progettazione di un regolatore è inoltre fondamentale
stabilire le prestazioni che si desidera raggiungere, il che
influenza la scelta del tipo di regolatore da considerare.
Avatar utente
Foto Utenteg.schgor
57,8k 9 12 13
G.Master EY
G.Master EY
 
Messaggi: 16971
Iscritto il: 25 ott 2005, 9:58
Località: MILANO

0
voti

[6] Re: Controllo PID

Messaggioda Foto UtenteUgoMela94 » 15 lug 2016, 22:54

Mi spiace non poter essere più esaustivo nella risposta ma non conosco il modo con cui la forza è applicata giacche non si tratta di un caso "reale" ma puramente didattico; allo stesso modo non posso neanche dire le prestazioni che si intende raggiungere poiché l'obiettivo dello schema è quello di porre l'accento sul quel valore pulsazione che dicevo prima.

Anche volendo, non potrei essere più esaustivo sopratutto perché, come detto l'argomento al corso, non è stato trattato in modo approfondito.

L'unica cosa che posso aggiungere è uno 'schema' del sistema, che però penso sia abbastanza noto.

Immagine
Avatar utente
Foto UtenteUgoMela94
5 2
 
Messaggi: 20
Iscritto il: 14 lug 2016, 21:20

4
voti

[7] Re: Controllo PID

Messaggioda Foto Utenteg.schgor » 16 lug 2016, 8:03

Si il disegno non aggiunge nulla ed è incompleto:
vedi qui (Example: Mass-Spring-Damper System)

Se il problema è il controllo della posizione x(t)
il sistema da studiare è:

dove R è la fdt (funzione di trasferimento) del regolatore
e G la fdt del sistema massa-molla-ammortizzatore.

Adesso basta definire i parametri del sistema e studiare la "risposta"
ad una variazione di x(rif) in funzione dei parametri del regolatore.
Il link citato può aiutare a fissare i parametri del sistema.
Poi ci risentiamo.
Avatar utente
Foto Utenteg.schgor
57,8k 9 12 13
G.Master EY
G.Master EY
 
Messaggi: 16971
Iscritto il: 25 ott 2005, 9:58
Località: MILANO

1
voti

[8] Re: Controllo PID

Messaggioda Foto UtenteDanteCpp » 16 lug 2016, 10:06

UgoMela94 ha scritto:Cioè in riferimento al sistema meccanico massa molla smorzatore cosa rappresenta questa frequenza, ovvero la parte immaginaria degli autovalori della funzione di trasferimento?


Tra il bel materiale proposto da g.schgor prova a guardare precisamente qui.
Avatar utente
Foto UtenteDanteCpp
4.730 3 9 13
Master EY
Master EY
 
Messaggi: 1106
Iscritto il: 15 dic 2011, 18:51

0
voti

[9] Re: Controllo PID

Messaggioda Foto UtenteUgoMela94 » 16 lug 2016, 21:43

Grazie, era proprio quello che cercavo!

L'ultima cosa, come si fa a passare dalla prima alla seconda equazione che ho scritto in precedenza?
Avatar utente
Foto UtenteUgoMela94
5 2
 
Messaggi: 20
Iscritto il: 14 lug 2016, 21:20

2
voti

[10] Re: Controllo PID

Messaggioda Foto UtenteDanteCpp » 16 lug 2016, 22:35

UgoMela94 ha scritto:Il primo dubbio che ho, riguarda il motivo per cui si è inglobato nel termine k [ovvero nel termine che moltiplica x nel dominio del tempo] della (2) anche k_p e poi si è scritto al secondo membro della (2) la funzione di trasferimento R(s).


Quel termine è dovuto alla retroazione unitaria e all'azione del controllore, da noi preposto al sistema, con il fine di controllarlo.



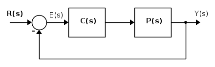
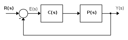
Mettiamo chiarezza sugli "attori", (segnali e sistemi):

P(s)=\frac{1}{m s^2+\sigma s+ k}
è il processo da controllare

C(s)=k_p
è il controllore

R(s)=\mathcal{L} \left \{ x_{rif}(t) \right \}
è il segnale di riferimento

Y(s)=\mathcal{L} \left \{ x(t) \right \}
è l'uscita del sistema

E(s)=R(s)-Y(s)=\mathcal{L} \left \{ x_{rif}(t)-x(t) \right \}
è l'errore, ossia, di quanto l'uscita si discosta dal valore desiderato.

Traducendo lo schema a blocchi in equazioni

Y(s)=C(s)P(s)E(s)

sostituendo E(s)

Y(s)=C(s)P(s)R(s)-C(s)P(s)Y(s)

raggruppiamo Y(s) a sinistra

[1+C(s)P(s)]Y(s)=C(s)P(s)R(s)

in fine

G(s)=\frac{Y(s)}{R(s)}=\frac{C(s)P(s)}{1+C(s)P(s)}

ora ti passo la palla... O_/
Avatar utente
Foto UtenteDanteCpp
4.730 3 9 13
Master EY
Master EY
 
Messaggi: 1106
Iscritto il: 15 dic 2011, 18:51

Prossimo

Torna a Automazione industriale ed azionamenti

Chi c’è in linea

Visitano il forum: Nessuno e 4 ospiti