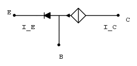
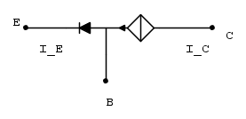
Questo rappresentato è il circuito semplificato che consideriamo quando il transistor è in zona attiva.... ora quando io vado a cortocircuitare Vs per calcolare Ro l'impedenza del ramo del generatore controllato diventa infinita, ovvero il generatore diventa un circuito aperto?
Non vedo però come centra il fatto che Bc è polarizzata inversamente visto che per fare quella semplificazione già doveva esserlo

Elettrotecnica e non solo (admin)
Un gatto tra gli elettroni (IsidoroKZ)
Esperienza e simulazioni (g.schgor)
Moleskine di un idraulico (RenzoDF)
Il Blog di ElectroYou (webmaster)
Idee microcontrollate (TardoFreak)
PICcoli grandi PICMicro (Paolino)
Il blog elettrico di carloc (carloc)
DirtEYblooog (dirtydeeds)
Di tutto... un po' (jordan20)
AK47 (lillo)
Esperienze elettroniche (marco438)
Telecomunicazioni musicali (clavicordo)
Automazione ed Elettronica (gustavo)
Direttive per la sicurezza (ErnestoCappelletti)
EYnfo dall'Alaska (mir)
Apriamo il quadro! (attilio)
H7-25 (asdf)
Passione Elettrica (massimob)
Elettroni a spasso (guidob)
Bloguerra (guerra)




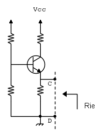
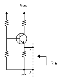
mentre la corrente di collettore
, ma per quale ragione è zero?



cortocircuitando tutti i generatori di tensione indipendenti, la corrente di base
del primo transistor diventa nulla giusto? (e quindi il generatore di corrente controllato diventa un circuito aperto no? )
perché il transistor non essendo alimentato non è più polarizzato e risulta interdetto?
, no? 


no?
ottengo
e quindi il generatore controllato ha impedenza infinita ovvero è un circuito aperto)
possiamo pensare che sul ramo che collega i due transistor non scorra corrente ovvero
e quindi che la corrente che scorre nella resistenza
sia 
e quindi trovare poi le altre grandezze
sia nulla ovvero che la corrente di carico è zero.
che avevamo calcolato approssimando