salve ragazzi, riporto una frase che ho letto su un libro di elettronica e che anche il mio prof ha ripetuto in aula. Si parla di amplificatori operazionali:
"il comportamento in regione lineare, sottinteso nel modello ideale, viene garantito collegando l'uscita dell'operazionale con il suo ingresso invertente, direttamente o attraverso un resistore. Tale collegamento realizza un feedback negativo che mantiene la tensione di ingresso nella regione lineare".
Vorrei che qualcuno mi spiegasse questa frase; so che la retroazione ha il vantaggio di ridurre le non linearità, è questa la ragione?
linearità e retroazione
Moderatori:
carloc,
g.schgor,
BrunoValente,
IsidoroKZ
4 messaggi
• Pagina 1 di 1
0
voti
Sulla retroazione son state scritte centinaia di migliaia di pagine... ti fornisco una veloce spiegazione informale ed imprecisa, ma che credo possa andare bene come idea immediata: l'operazionale, tramite la retroazione, non fa altro che "guardare" la sua uscita (o una versione opportunamente modificata di essa, se è prevista una rete di retroazione) e "correggerla" in modo da farla convergere ad un valore "di equilibrio".
-

rugweri
5.948 2 8 13 - CRU - Account cancellato su Richiesta utente
- Messaggi: 1366
- Iscritto il: 25 nov 2016, 18:46
5
voti
faggio ha scritto: Tale collegamento realizza un feedback negativo che mantiene la tensione di ingresso nella regione lineare".
Detta cosi` non mi piace molto, direi che mantiene la tensione differenziale di ingresso dell'operazionale nella regione lineare.
L'operazionale non sa se e` chiuso in un anello di retroazione negativa o no, sa solo che prende la sua tensione differenziale di ingresso e la amplifica. Se questa tensione differenziale supera alcune decine di microvolt, l'operazionale satura indipendentemente dal fatto che ci sia una retroazione negativa oppure no.
Se c'e` una retroazione negativa, il guadagno del sistema retroazionato viene ridotto (e di parecchio) e quindi il segnale di ingresso puo` essere di ampiezza maggiore prima di mandare in crisi l'uscita dell'op amp, chiedendogli una tensione di uscita che non puo` erogare.
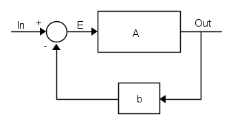
Altro modo di vedere quello che capita e` considerare il sistema retroazionato (semplificato, idealizzato...) qui sotto
Anche i gatti sanno che la grandezza di uscita vale
ma solo i gatti rossi sanno che la grandezza di ingresso E all'amplficatore base A (nella tua domanda il tuo operazionale) vale 
Vale a dire che quando retroazioni un sistema l'ingresso all'amplificatore di partenza viene ridotto dalla retroazione rispetto al segnale di ingresso e quindi puoi avere un segnale di ingresso piu` grande prima di saturare l'amplificatore.
Per ulteriori confusione di idee, puoi anche guardare questo messaggio e tutto il relativo thread, dove la cosa e` analizzata da un punto di vista piu` circuitale viewtopic.php?f=1&t=16478#p112710
Per usare proficuamente un simulatore, bisogna sapere molta più elettronica di lui
Plug it in - it works better!
Il 555 sta all'elettronica come Arduino all'informatica! (entrambi loro malgrado)
Se volete risposte rispondete a tutte le mie domande
Plug it in - it works better!
Il 555 sta all'elettronica come Arduino all'informatica! (entrambi loro malgrado)
Se volete risposte rispondete a tutte le mie domande
0
voti
grazie mille a entrambi!
Scusate l'ignoranza ma che vuol dire che l'amplificatore satura?
grazie ancora.
Scusate l'ignoranza ma che vuol dire che l'amplificatore satura?
grazie ancora.
4 messaggi
• Pagina 1 di 1
Chi c’è in linea
Visitano il forum: Nessuno e 39 ospiti

Elettrotecnica e non solo (admin)
Un gatto tra gli elettroni (IsidoroKZ)
Esperienza e simulazioni (g.schgor)
Moleskine di un idraulico (RenzoDF)
Il Blog di ElectroYou (webmaster)
Idee microcontrollate (TardoFreak)
PICcoli grandi PICMicro (Paolino)
Il blog elettrico di carloc (carloc)
DirtEYblooog (dirtydeeds)
Di tutto... un po' (jordan20)
AK47 (lillo)
Esperienze elettroniche (marco438)
Telecomunicazioni musicali (clavicordo)
Automazione ed Elettronica (gustavo)
Direttive per la sicurezza (ErnestoCappelletti)
EYnfo dall'Alaska (mir)
Apriamo il quadro! (attilio)
H7-25 (asdf)
Passione Elettrica (massimob)
Elettroni a spasso (guidob)
Bloguerra (guerra)


