Salve a tutti devo fare un confronto tra sistema lineare e non lineare
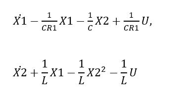
Le equazioni di stato sono queste:
Calcolata per U=6:
Ho linearizzato e trovato la funzione di trasferimento , ma confrontanto le uscite non mi trovo con i grafici
Modello simulink lineare e non lineare
4 messaggi
• Pagina 1 di 1
0
voti
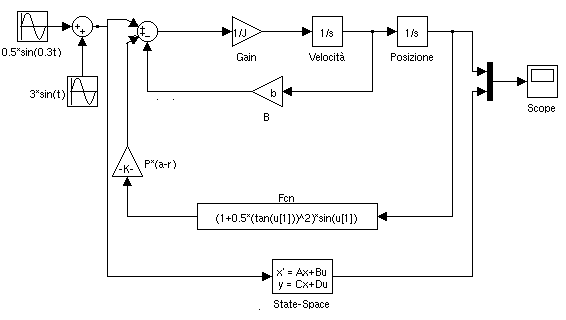
In pratica ho fatto lo schema simulink e devo confrontarlo con lo schema non lineare.
Non capisco perché per fare il confronto viene inserito il blocchetto con il seno all interno .
Credo che sia un concetto generale, solo che non ho capito da cosa deriva.
In rete ho trovato un esempio
Qui è scritto "L’ultimo passo della linearizzazione è verificarne la bontà. A tale proposito, introduciamo il modello in spazio di stato in ambiente simulink (inserendo nel bloccetto “state space” le matrici restituite da linmod) e verificando che le uscite dei modelli (lineare e non lineare) coincidano o siano simili.
Non capisco perché per fare il confronto viene inserito il blocchetto con il seno all interno .
Credo che sia un concetto generale, solo che non ho capito da cosa deriva.
In rete ho trovato un esempio
Qui è scritto "L’ultimo passo della linearizzazione è verificarne la bontà. A tale proposito, introduciamo il modello in spazio di stato in ambiente simulink (inserendo nel bloccetto “state space” le matrici restituite da linmod) e verificando che le uscite dei modelli (lineare e non lineare) coincidano o siano simili.
- Allegati
-
- simL.png (4.53 KiB) Osservato 3862 volte
4 messaggi
• Pagina 1 di 1
Torna a Programmi applicativi: simulatori, CAD ed altro
Chi c’è in linea
Visitano il forum: Nessuno e 2 ospiti

Elettrotecnica e non solo (admin)
Un gatto tra gli elettroni (IsidoroKZ)
Esperienza e simulazioni (g.schgor)
Moleskine di un idraulico (RenzoDF)
Il Blog di ElectroYou (webmaster)
Idee microcontrollate (TardoFreak)
PICcoli grandi PICMicro (Paolino)
Il blog elettrico di carloc (carloc)
DirtEYblooog (dirtydeeds)
Di tutto... un po' (jordan20)
AK47 (lillo)
Esperienze elettroniche (marco438)
Telecomunicazioni musicali (clavicordo)
Automazione ed Elettronica (gustavo)
Direttive per la sicurezza (ErnestoCappelletti)
EYnfo dall'Alaska (mir)
Apriamo il quadro! (attilio)
H7-25 (asdf)
Passione Elettrica (massimob)
Elettroni a spasso (guidob)
Bloguerra (guerra)


