
Chiarimento sul concetto di guadagno di un op amp
Moderatori:
carloc,
g.schgor,
BrunoValente,
IsidoroKZ
13 messaggi
• Pagina 2 di 2 • 1, 2
4
voti
Forse per chiarirti bene le idee dovresti guardare su un qualche testo le basi dei controlli automatici o teoria dei sistemi dove queste cose sono spiegate bene. Senza quelle basi rischi di fare solo della confusione.
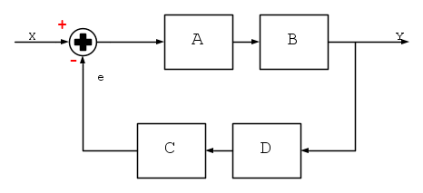
Provo a farti un altro disegno cercando di farti capire a grandi linee il concetto:
In un sistema di questo tipo, il guadagno dell'intero sistema in retroazione è del tipo:

(al denominatore c'è il
perché la retroazione è e negativa). I termini indicano:
è il guadagno del ramo diretto (cioè del sistema senza retroazione); nell'esempio 
è il guadagno di anello ossia il guadagno che ottieni moltiplicando tutti i guadagni dei blocchi presenti sull'anello; nell'esempio 
Quindi il guadagno complessivo del sistema retroazionato nell'esempio è pari a:

Provo a farti un altro disegno cercando di farti capire a grandi linee il concetto:
In un sistema di questo tipo, il guadagno dell'intero sistema in retroazione è del tipo:

(al denominatore c'è il
perché la retroazione è e negativa). I termini indicano:
è il guadagno del ramo diretto (cioè del sistema senza retroazione); nell'esempio 
è il guadagno di anello ossia il guadagno che ottieni moltiplicando tutti i guadagni dei blocchi presenti sull'anello; nell'esempio 
Quindi il guadagno complessivo del sistema retroazionato nell'esempio è pari a:

0
voti
Certo hai ragione, sono io che ho voluto capire tutto subito e forse troppo in fretta. La stabilità non l'abbiamo ancora trattata, ma solo accennata e sto confondendo le cose.
Comunque grazie per l'aiuto e per il tuo tempo
Comunque grazie per l'aiuto e per il tuo tempo
13 messaggi
• Pagina 2 di 2 • 1, 2
Chi c’è in linea
Visitano il forum: Nessuno e 516 ospiti

Elettrotecnica e non solo (admin)
Un gatto tra gli elettroni (IsidoroKZ)
Esperienza e simulazioni (g.schgor)
Moleskine di un idraulico (RenzoDF)
Il Blog di ElectroYou (webmaster)
Idee microcontrollate (TardoFreak)
PICcoli grandi PICMicro (Paolino)
Il blog elettrico di carloc (carloc)
DirtEYblooog (dirtydeeds)
Di tutto... un po' (jordan20)
AK47 (lillo)
Esperienze elettroniche (marco438)
Telecomunicazioni musicali (clavicordo)
Automazione ed Elettronica (gustavo)
Direttive per la sicurezza (ErnestoCappelletti)
EYnfo dall'Alaska (mir)
Apriamo il quadro! (attilio)
H7-25 (asdf)
Passione Elettrica (massimob)
Elettroni a spasso (guidob)
Bloguerra (guerra)


