Cos'è ElectroYou | Login Iscriviti

ElectroYou - la comunità dei professionisti del mondo elettrico

AFD di una specifica dinamica

PLC, servomotori, inverter...robot

Moderatori: Foto Utentedimaios, Foto Utentecarlomariamanenti

1
voti

[1] AFD di una specifica dinamica

Messaggioda Foto Utentemikoile » 2 set 2019, 16:20

Buonasera, avrei dei dubbi sulla determinazione dei seguenti AFD relativi alle seguenti specifiche dinamiche.Vorrei deste un occhiata agli automi da me fatti (nel caso in cui ci sono due AFD significa che sono indeciso su quale dei due sia eventualmente quello giusto). Grazie mille !! :D

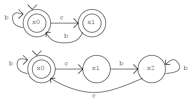
1. Fra due eventi c vi deve essere almeno un evento b.


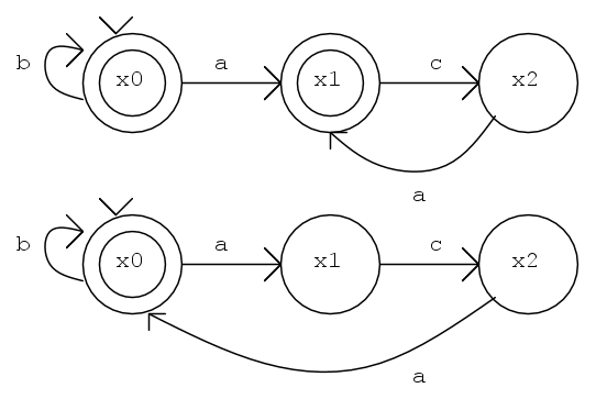
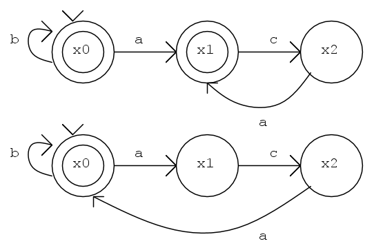
2.L'evento b può avvenire sempre; con riferimento agli eventi a e c, il primo evento che deve verificarsi è a, inoltre a deve essere seguito immediatamente da c e c deve essere immediatamente seguito da a.


3. Ogni evento a deve essere seguito dagli eventi b e c (nell'ordine) e ogni evento d deve essere IMMEDIATAMENTE seguito da c. L'evento e invece può verificarsi sempre, senza vincoli.



In questo caso il mio dubbio sta nel fatto che non ho capito come soddisfare la richiesta "immediatamente seguito da" e nel caso non ci fosse come diventerebbe l'automa ?
Grazie mille
Avatar utente
Foto Utentemikoile
15 4
 
Messaggi: 47
Iscritto il: 3 feb 2018, 13:01

Torna a Automazione industriale ed azionamenti

Chi c’è in linea

Visitano il forum: Nessuno e 16 ospiti