Cos'è ElectroYou | Login Iscriviti

ElectroYou - la comunità dei professionisti del mondo elettrico

Pulsazione di attraversamento (sistema retroazionato)

PLC, servomotori, inverter...robot

Moderatori: Foto Utentedimaios, Foto Utentecarlomariamanenti

0
voti

[1] Pulsazione di attraversamento (sistema retroazionato)

Messaggioda Foto Utentefede123 » 23 feb 2020, 21:00

Ciao a tutti,
Sto facendo un esercizio e mi chiedevo se gentilmente qualcuno di voi potesse darmi una mano, non tanto nei conti, quanto in un chiarimento delle procedure risolutive.
Mi viene data la funzione di trasferimento di un processo P(s) (foto per vedere anche il tipo di sistema).
Mi viene chiesto di terminare "h" e "Kc".
Con Kd = 4 e ingresso a rampa u(t) = 5t sia minore o uguale a 0.16 . Scelto il valore minimo di Kc compatibile con le specifiche, tracciare i diagrammi di Bode, Nyquist e calcolare pulsazione di attraversamento \omega t.

Allora ho solo un paio di dubbi :
"h" non ho ben capito cosa sia...Dice qualcosa riguardo il numero di integratori da inserire per raggiungere il tipo 1...
"Kc" secondo l'espressione dell'errore che (Kd^2/(Kc*Kp))<0.16.
Ma chi è "Kp"? Il testo non me lo cita :cry: .

Bode e Nyquist ok.
Come si calcola la pulsazione di taglio (attraversamento)?
E una cosa che non c'entra...Sapete come capire guardando il sistema di che tipo esso sia (0 1 2) ?

Grazie ! :D
Allegati
Screenshot 2020-02-23 at 19.52.31.png
Avatar utente
Foto Utentefede123
15 2
 
Messaggi: 20
Iscritto il: 17 feb 2020, 20:18

0
voti

[2] Re: Pulsazione di attraversamento (sistema retroazionato)

Messaggioda Foto Utenteg.schgor » 24 feb 2020, 9:51

Hai la possibilità di tracciare il diagramma di bode di P(j \omega )?
Avatar utente
Foto Utenteg.schgor
57,8k 9 12 13
G.Master EY
G.Master EY
 
Messaggi: 16971
Iscritto il: 25 ott 2005, 9:58
Località: MILANO

0
voti

[3] Re: Pulsazione di attraversamento (sistema retroazionato)

Messaggioda Foto Utentefede123 » 24 feb 2020, 11:42

g.schgor ha scritto:Hai la possibilità di tracciare il diagramma di bode di P(j \omega )?


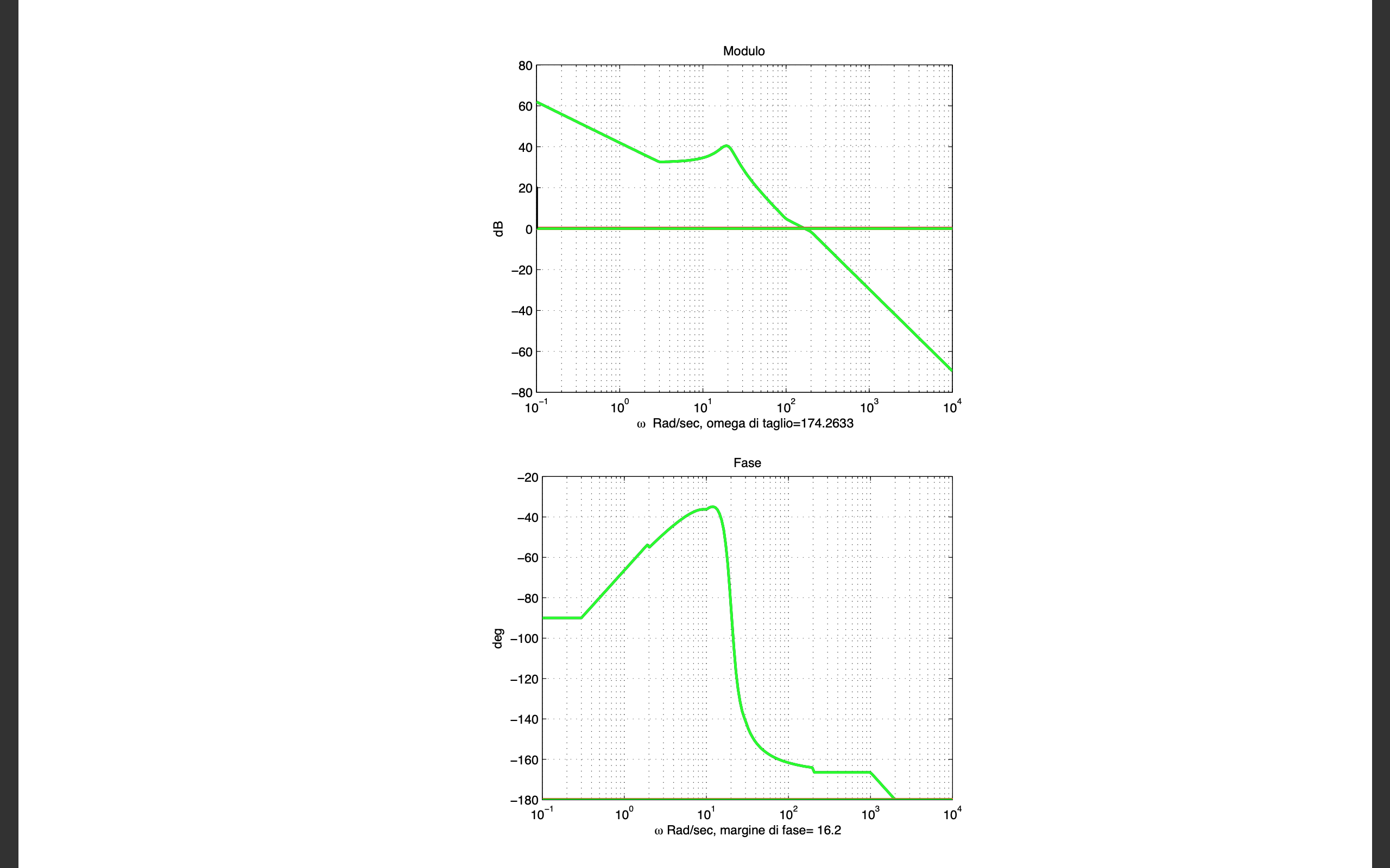
Certo!
Bode
Allegati
Screenshot 2020-02-24 at 10.40.44.png
Avatar utente
Foto Utentefede123
15 2
 
Messaggi: 20
Iscritto il: 17 feb 2020, 20:18

0
voti

[4] Re: Pulsazione di attraversamento (sistema retroazionato)

Messaggioda Foto UtenteMarcoD » 24 feb 2020, 13:58

g.schgor ha scritto:Hai la possibilità di tracciare il diagramma di bode di P(j \omega )?
Certo! Bode

Maah !?
Il diagramma del modulo indica:
62 dB per W = 0,1 rad/s
42 dB per W = 1 rad/s

La funzione P(jw) per W che tende a zero si semplifica in 10 costante, ossia 20 dB.

A cosa si riferisce il grafico Bode che hai postato?
Hai già inserito il regolatore ? che valore di H hai scelto?
Avatar utente
Foto UtenteMarcoD
12,2k 5 9 13
Master EY
Master EY
 
Messaggi: 6696
Iscritto il: 9 lug 2015, 16:58
Località: Torino

0
voti

[5] Re: Pulsazione di attraversamento (sistema retroazionato)

Messaggioda Foto Utentefede123 » 24 feb 2020, 15:50

MarcoD ha scritto:

Hai già inserito il regolatore ? che valore di H hai scelto?


Ho scelto h=1 e Kc=50.

In realtà non l'ho neanche scelti io, l'esercizio dice così...perché c'è qualcosa che non ti torna? Il grafico è della soluzione agli esercizi
Avatar utente
Foto Utentefede123
15 2
 
Messaggi: 20
Iscritto il: 17 feb 2020, 20:18

0
voti

[6] Re: Pulsazione di attraversamento (sistema retroazionato)

Messaggioda Foto UtenteMarcoD » 24 feb 2020, 18:44

E una cosa che non c'entra...Sapete come capire guardando il sistema di che tipo esso sia (0 1 2) ?

Il tipo di sistema è il numero di poli nell'origine (numero di espressioni (1/s) al denominatore )
Nel tuo caso P(s) è di grado zero.
Mettendo nel regolatore un termine 1/s La catena complessiva diventa di tipo 1.

Un sistema di tipo 0 mantuiene costante l'errore a regime con un ingresso a gardino,
mentre quando l'ingrsso è sempre crescente (a rampa) l'errore diverge.

Un sistema di tipo 1 rende zero l'errore a gradino e mantiene costante l'errore con un ingresso a rampa.

....
Avatar utente
Foto UtenteMarcoD
12,2k 5 9 13
Master EY
Master EY
 
Messaggi: 6696
Iscritto il: 9 lug 2015, 16:58
Località: Torino

0
voti

[7] Re: Pulsazione di attraversamento (sistema retroazionato)

Messaggioda Foto Utentefede123 » 24 feb 2020, 18:58

Grazie, finalmente un po' di luce sulla questione :D

Nell'esercizio però dice che il sistema è di tipo 2 dato che ci sono due integratori in catena diretta...Posso capire il grado del sistema anche solo guardando il grafico con gli integratori?

Quindi se, per esempio, come denominatore di P(s) ho un polinomio, il tipo di sistema è equivalente al grado massimo della "s" nel polinomio?
Avatar utente
Foto Utentefede123
15 2
 
Messaggi: 20
Iscritto il: 17 feb 2020, 20:18

1
voti

[8] Re: Pulsazione di attraversamento (sistema retroazionato)

Messaggioda Foto UtenteMarcoD » 24 feb 2020, 19:32

se, per esempio, come denominatore di P(s) ho un polinomio, il tipo di sistema è equivalente al grado massimo della "s" nel polinomio?
No. Solo il numero di S che moltiplicano il polinomio.

P(s) = 1 /((aS^2 + bS + c)) sistema del secondo ordine di tipo 0
P(s) = 1 /((aS^2 + bS + c)*S) sistema del terzo ordine di tipo 1
P(s) = 1 /((aS^2 + bS + c)*S^2) sistema ... di tipo 2

P(s) = 1 /((bS + c)*S) sistema del secondo ordine di tipo 1
O_/
Avatar utente
Foto UtenteMarcoD
12,2k 5 9 13
Master EY
Master EY
 
Messaggi: 6696
Iscritto il: 9 lug 2015, 16:58
Località: Torino


Torna a Automazione industriale ed azionamenti

Chi c’è in linea

Visitano il forum: Nessuno e 12 ospiti