Scusa le ordinate puoi chiamarle x o anche S ma non devi poi moltiplicarle fra loro.
Quanto alla "curva" certo che perdi qualcosa se discretizzi i valori.
Discretizzazione Eulero in avanti e Eulero all'indietro
Moderatori:
PietroBaima,
Ianero
17 messaggi
• Pagina 2 di 2 • 1, 2
2
voti
No, guarda bene l'esempio del posr[4]
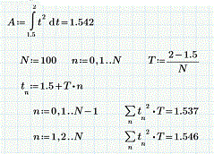
Nella procedura 'in avanti' l'area da considerare è solo S1
T
(per quella 'all'indietro S2
T), dove gli S d sono le ordinare della curva
nei tempi nT ed (n+1)T e T il tempo fra due successivi degli N campionamenti.
Ecco il calcolo con le due procedure: si hanno risultati per difetto e in eccesso.
E' chiaro che bisogna aumentare N finché coincidono (N=1000)
Nella procedura 'in avanti' l'area da considerare è solo S1
T(per quella 'all'indietro S2
T), dove gli S d sono le ordinare della curvanei tempi nT ed (n+1)T e T il tempo fra due successivi degli N campionamenti.
Ecco il calcolo con le due procedure: si hanno risultati per difetto e in eccesso.
E' chiaro che bisogna aumentare N finché coincidono (N=1000)
0
voti
un'altra domanda: se all'inizio nella foto dice "portiamo in avanti il valore del campione" significa essenzialmente che il valore del campione viene idealmente "trascinato in avanti o è una dicitura errata degli appunti e significa calcolare soltanto l'area?
Inoltre la distranza tra i due campioni in altro è il rapporto incrementale tempo discreto giusto?
Inoltre la distranza tra i due campioni in altro è il rapporto incrementale tempo discreto giusto?
0
voti
"portiamo in avanti il valore del campione"
Dovrebbe significare che nell'intervallo k e k+1, approssimiamo i valori della funzione con quello del campione al istante k.
"Inoltre la distranza tra i due campioni in altro è il rapporto incrementale tempo discreto giusto?"
La domanda non è ben posta
Dovrebbe significare che nell'intervallo k e k+1, approssimiamo i valori della funzione con quello del campione al istante k.
"Inoltre la distranza tra i due campioni in altro è il rapporto incrementale tempo discreto giusto?"
La domanda non è ben posta
-

lacoontfreed
140 1 1 3 - Frequentatore

- Messaggi: 100
- Iscritto il: 3 nov 2019, 8:20
0
voti
"Portare avanti il valore del campione, potrebbe essere un modo per dire: approssimiamo la curva calcolando
il prodotto
cosi mi sembra aver capito.
S1 se vedi la foto, come gia detto è il valore del campione nel mio caso all'istante
La seconda domanda intendevo questo:
Nel mio caso la derivata vene approssimata con il rapporto incrementale in avanti.
il rapporto incrementale puo èssere visto come in figura?.
la mia variazione di X sarebbe proprio il tempo di campionamento.
La mia variazione di Y è la distanza tra i due campioni , Il loro rapporto è il rapporto incrementale.
il prodotto
cosi mi sembra aver capito. S1 se vedi la foto, come gia detto è il valore del campione nel mio caso all'istante

La seconda domanda intendevo questo:
Nel mio caso la derivata vene approssimata con il rapporto incrementale in avanti.
il rapporto incrementale puo èssere visto come in figura?.
la mia variazione di X sarebbe proprio il tempo di campionamento.
La mia variazione di Y è la distanza tra i due campioni , Il loro rapporto è il rapporto incrementale.
0
voti
jayeffe ha scritto:"Portare avanti il valore del campione, potrebbe essere un modo per dire: approssimiamo la curva calcolando
il prodotto![]()
cosi mi sembra aver capito.
La funzione viene approssimata con il valore campionato all'istante
nell'intervallo
, il prodotto
ci fornisce l'integraleSijayeffe ha scritto: il rapporto incrementale puo èssere visto come in figura?.
Sijayeffe ha scritto: la mia variazione di X sarebbe proprio il tempo di campionamento.
La variazione di Y non è la distanza tra i due campioni, se Y è una funzione costante la variazione è zero, mentre la distanza tra due campioni p.e. può essere 3. Dunque la variazione di Y è lajayeffe ha scritto: La mia variazione di Y è la distanza tra i due campioni , Il loro rapporto è il rapporto incrementale.
e il rapporto tra
ci fornisce la derivata. Esempio se
dalla foto che hai postato vediamo che abbiamo 
-

lacoontfreed
140 1 1 3 - Frequentatore

- Messaggi: 100
- Iscritto il: 3 nov 2019, 8:20
1
voti
jayeffe ha scritto:un'altra domanda: se all'inizio nella foto dice "portiamo in avanti il valore del campione" significa essenzialmente che il valore del campione viene idealmente "trascinato in avanti o è una dicitura errata degli appunti e significa calcolare soltanto l'area?
Non capisco perché nel 2020 si debba inventare un linguaggio nuovo per descrivere una cosa che è nota da centinaia di anni.
"Portiamo in avanti il valore del campione" non vuol dire proprio niente, è come quando gli studenti di fronte ad una equazione dicono "porto di là questo ...." o "porto di là quest'altro".
L'argomento è la "predizione ad un passo".
Se conosci una funzione fino al passo
e vuoi fare una approssimazione della stessa al passo
conoscendone la derivata al passo
cosa fai?La cosa più naturale è quella che hai indicato nel disegno.
In pratica cerchi di predirre il valore della funzione al passo successivo conoscendone valore e derivata al passo precedente.
Ingegneria : alternativa intelligente alla droga.
-

dimaios
30,2k 7 10 12 - G.Master EY

- Messaggi: 3381
- Iscritto il: 24 ago 2010, 14:12
- Località: Behind the scenes
17 messaggi
• Pagina 2 di 2 • 1, 2
Chi c’è in linea
Visitano il forum: Nessuno e 23 ospiti

Elettrotecnica e non solo (admin)
Un gatto tra gli elettroni (IsidoroKZ)
Esperienza e simulazioni (g.schgor)
Moleskine di un idraulico (RenzoDF)
Il Blog di ElectroYou (webmaster)
Idee microcontrollate (TardoFreak)
PICcoli grandi PICMicro (Paolino)
Il blog elettrico di carloc (carloc)
DirtEYblooog (dirtydeeds)
Di tutto... un po' (jordan20)
AK47 (lillo)
Esperienze elettroniche (marco438)
Telecomunicazioni musicali (clavicordo)
Automazione ed Elettronica (gustavo)
Direttive per la sicurezza (ErnestoCappelletti)
EYnfo dall'Alaska (mir)
Apriamo il quadro! (attilio)
H7-25 (asdf)
Passione Elettrica (massimob)
Elettroni a spasso (guidob)
Bloguerra (guerra)


