Ecco Bode che conferma i -3dB a 300r/s
Non è però soddisfatta la condizione di errore statico (s%=15 cosa?)
sistema di controllo in retroazione
Moderatori:
PietroBaima,
Ianero
29 messaggi
• Pagina 2 di 3 • 1, 2, 3
0
voti
cioè io non devo usare questa formula?
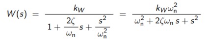
il professore mi fornisce i diagrammi di sintesi e ho kW=2 nel mio caso e ho ξ lo devo ricavare dal grafico da cui prendere anche il valore da eguagliare a
il professore mi fornisce i diagrammi di sintesi e ho kW=2 nel mio caso e ho ξ lo devo ricavare dal grafico da cui prendere anche il valore da eguagliare a

0
voti
1
voti
Il testo non è chiaro (presuppone note certe convezioni), ma
suppongo che W(s) sia la fdt ad anello aperto mentre
i valori da soddisare sono ad anello chiuso (con H).
sei d'accordo?
suppongo che W(s) sia la fdt ad anello aperto mentre
i valori da soddisare sono ad anello chiuso (con H).
sei d'accordo?
0
voti
non è esplicitato ma presuppongo sia così, anche se vedendo altri tipi di esercizi ad esempio in cui mi viene dato il processo p e tra le specifiche da calcolare ricavo il trasduttore e il controllore, alla richiesta di
che abbia un s% non c'è il riferimento al tipo di sistema
che abbia un s% non c'è il riferimento al tipo di sistema
29 messaggi
• Pagina 2 di 3 • 1, 2, 3
Chi c’è in linea
Visitano il forum: Nessuno e 8 ospiti

Elettrotecnica e non solo (admin)
Un gatto tra gli elettroni (IsidoroKZ)
Esperienza e simulazioni (g.schgor)
Moleskine di un idraulico (RenzoDF)
Il Blog di ElectroYou (webmaster)
Idee microcontrollate (TardoFreak)
PICcoli grandi PICMicro (Paolino)
Il blog elettrico di carloc (carloc)
DirtEYblooog (dirtydeeds)
Di tutto... un po' (jordan20)
AK47 (lillo)
Esperienze elettroniche (marco438)
Telecomunicazioni musicali (clavicordo)
Automazione ed Elettronica (gustavo)
Direttive per la sicurezza (ErnestoCappelletti)
EYnfo dall'Alaska (mir)
Apriamo il quadro! (attilio)
H7-25 (asdf)
Passione Elettrica (massimob)
Elettroni a spasso (guidob)
Bloguerra (guerra)


