però leggo che con sistema strettamente proprio ho i fratti semplici...e nella mia analisi effettuo uno studio proprio in funzione di essi....
sarò tonto però la cosa non mi è ancora ben chiara in mente
Moderatori:
PietroBaima,
Ianero


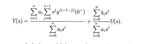
dove
è la funzione di trasferimento... con i fratti semplici ricavo sempre una soluzione data dai poli di
e
invece sono i valori relative alle condizioni iniziali
e io ho detto che era un associazione che facevo per via dell'ingresso
. allora mi ha chiesto di definirla in funzione del fatto di avere un polinomio di ordine 3 (che è una rampa parabolica cubica).
e poi in sostanza mi ha detto che era una conica e non cubica quella... diciamo che ho problemi perché non vorrei come dice lui imparare a memoria però non riesco a trovare una spiegazione ben dettagliata.. ti sarei infinitamente grato se potessi aiutarmi
???Visitano il forum: Nessuno e 7 ospiti