Cos'è ElectroYou | Login Iscriviti

ElectroYou - la comunità dei professionisti del mondo elettrico

Rappresentazione partitore resisitivo con out negativo

Elettronica lineare e digitale: didattica ed applicazioni

Moderatori: Foto Utentecarloc, Foto Utenteg.schgor, Foto UtenteBrunoValente, Foto UtenteIsidoroKZ

0
voti

[1] Rappresentazione partitore resisitivo con out negativo

Messaggioda Foto Utenteboiler » 18 apr 2023, 11:07

Ciao a tutti

Rieccoci con una domanda di estetica/leggibilità.
Niente di importante, ma sono cose che mi stanno a cuore.

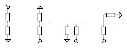
Devo disegnare un partitore resistivo tra un'alimentazione negativa e lo zero, quindi la cui tensione in uscita è negativa. Inoltre all'uscita c'è un condensatore a fare da passa-basso.

Quale variante vi sembra piú leggibile o piú esteticamente gradevole?
(lasciando perdere dimensioni dei componenti, colori, simboli per alimentazioni e GND... con i quali vi avevo già tediato :mrgreen: )

voltage_divider_neg_out.PNG


Spoiler: la scelta è tra 1 e 2. Se vi piace 3 non possiamo essere amici. Se vi piace 4 mi fate paura :mrgreen:

Grazie e saluti, Boiler
Avatar utente
Foto Utenteboiler
26,4k 5 9 13
G.Master EY
G.Master EY
 
Messaggi: 5602
Iscritto il: 9 nov 2011, 12:27

0
voti

[2] Re: Rappresentazione partitore resisitivo con out negativo

Messaggioda Foto Utentefantom2002 » 18 apr 2023, 11:32

2
La vita è già così difficile, perché ce la complichiamo ulteriormente?
Avatar utente
Foto Utentefantom2002
398 2 8
Expert
Expert
 
Messaggi: 422
Iscritto il: 4 mag 2007, 9:12
Località: Monza

0
voti

[3] Re: Rappresentazione partitore resisitivo con out negativo

Messaggioda Foto UtenteGioArca67 » 18 apr 2023, 13:02

In ordine: 2,3,1,4.
la 1 è quasi a livello della 4...

in tutto lo schema le tensioni negative sono rappresentate più in basso di GND e non salgono mai sopra nei vari percorsi????
mai mai mai???
Nella 1 hai una tensione negativa FRA due GND.... ma se piace a te piace a tutti... :)
Avatar utente
Foto UtenteGioArca67
4.580 4 6 9
Master EY
Master EY
 
Messaggi: 4591
Iscritto il: 12 mar 2021, 9:36

0
voti

[4] Re: Rappresentazione partitore resisitivo con out negativo

Messaggioda Foto UtenteEtemenanki » 18 apr 2023, 13:45

Se proprio devi disegnarla tenendo due GND separati come simboli, direi la 2 (ma non faccio testo, io, in passato ho disegnato cose che voi umani non potreste neppure immaginare :mrgreen: )
"Sopravvivere" e' attualmente l'unico lusso che la maggior parte dei Cittadini italiani,
sia pure a costo di enormi sacrifici, riesce ancora a permettersi.
Avatar utente
Foto UtenteEtemenanki
9.517 3 6 10
Master
Master
 
Messaggi: 5940
Iscritto il: 2 apr 2021, 23:42
Località: Dalle parti di un grande lago ... :)

0
voti

[5] Re: Rappresentazione partitore resisitivo con out negativo

Messaggioda Foto UtenteIlGuru » 18 apr 2023, 14:00

Scelgo la busta numero 2

P.S. schemi in fidocadj grazie :lol:
\Gamma\nu\tilde{\omega}\theta\i\ \sigma\epsilon\alpha\upsilon\tau\acute{o}\nu
Avatar utente
Foto UtenteIlGuru
5.482 2 10 13
G.Master EY
G.Master EY
 
Messaggi: 1924
Iscritto il: 31 lug 2015, 23:32

0
voti

[6] Re: Rappresentazione partitore resisitivo con out negativo

Messaggioda Foto Utenteboiler » 18 apr 2023, 14:18

Prima di tutto, grazie a tutti per la partecipazione al thread :ok:

GioArca67 ha scritto:in tutto lo schema le tensioni negative sono rappresentate più in basso di GND e non salgono mai sopra nei vari percorsi????

No, ovviamente no.
Ma è un'ottima domanda, che mi ha fatto pensare a quali regole implicite e non scritte seguo disegnando schemi.

Credo che la domanda sia piuttosto: cosa è da considerarsi come un elemento riconoscibile all'interno del cui contesto valgono certe convenzioni?

Pensiamo ad un partitore resistivo "normale", tutte le tensioni in gioco sono positive. Penso che tutti lo disegnerebbero come nel primo esempio, non in una delle altre tre aberrazioni (che elettricamente parlando sono perfettamente valide):


Vuol dire che in noi c'è una sensibilità per quale sia la forma canonica di un partitore resistivo.
Ha sicuramente a che fare con una consuetudine, ma questa non scaturisce dal nulla. Il motivo qui è che si tende a mettere la tensione maggiore in alto e quella minore in basso. Inoltre, dato che in un partitore senza carico la corrente che attravera i due elementi è la stessa, è intuitivo allinearli.

Ora, se vi aggiungo un condensatore, scelta circuitale abbastanza comune, questo nuovo insieme di due resistori ed un condensatore forma un'unità singola o sono due entità separate.

Nel primo caso, ha senso mantenere una certa coerenza sul posizionamento di GND e scegliere quindi 2.
Se invece abbiamo già abbandonato il contesto del partitore e siamo sulla tratta orizzontale che collega due elementi, allora la convenzione abituale è avere GND verso il basso.

Quindi per tornare alla domanda originale ("in tutto lo schema le tensioni negative sono rappresentate più in basso di GND e non salgono mai sopra nei vari percorsi????"), risponderei così: localmente sì, globalmente no.

Il condensatore è nel contesto locale del partitore resistivo o meno? ?^!

IlGuru ha scritto:P.S. schemi in fidocadj grazie

Hai ragione, avevo deciso di non usarlo e mettere lo screenshot per una questione appunto di grafica, ma con il senno di poi, se parliamo della topologia del circuito è assolutamente indifferente che forma hanno i simboli. Però in quel momento mi sembrava la scelta migliore.
Avatar utente
Foto Utenteboiler
26,4k 5 9 13
G.Master EY
G.Master EY
 
Messaggi: 5602
Iscritto il: 9 nov 2011, 12:27

0
voti

[7] Re: Rappresentazione partitore resisitivo con out negativo

Messaggioda Foto Utenteboiler » 18 apr 2023, 14:20

P.S.: lo so che sono temi irrilevanti da un punto di vista prettamente tecnico.

Se volete mandarmi a quel paese siete i benvenuti :mrgreen:
Se avete voglia di imbarcarvi in questo discorso filosofico, beh, grazie! :mrgreen:

Boiler
Avatar utente
Foto Utenteboiler
26,4k 5 9 13
G.Master EY
G.Master EY
 
Messaggi: 5602
Iscritto il: 9 nov 2011, 12:27

0
voti

[8] Re: Rappresentazione partitore resisitivo con out negativo

Messaggioda Foto Utentespeedyant » 18 apr 2023, 14:56

Io sarei per lo schema 2.
Son quello delle domande strane!
Avatar utente
Foto Utentespeedyant
5.093 3 6 8
Master
Master
 
Messaggi: 3877
Iscritto il: 9 lug 2013, 18:29
Località: Torino

0
voti

[9] Re: Rappresentazione partitore resisitivo con out negativo

Messaggioda Foto Utentedadduni » 18 apr 2023, 15:00

A me piace la 3.

Ha senso il ground in basso e il condensatore in quel modo e' connesso in modo "naturale".

Nella mia testa in un partitore c'e' questa formula grafica: "la tensione sopra rispetto al riferimento sotto per il rapporto delle resistenze" quindi se la "tensione sopra" e' positiva l'uscita mi viene positiva, se la tensione sopra e' negativa l'uscita mi viene negativa. Ma almeno so dove andare a pescare l'alimentazione e mi trovo sempre col riferimento in basso.

E' interessante scoprire che questa e' una opinione non condivisa!

PS per me la 1 e la 4 sono da scartare, a colpo d'occhio nn mi era nemmeno chiaro su quale resistenza si stesse misurando l'uscita
Avatar utente
Foto Utentedadduni
2.073 2 7 12
Expert EY
Expert EY
 
Messaggi: 1370
Iscritto il: 23 mag 2014, 16:26

0
voti

[10] Re: Rappresentazione partitore resisitivo con out negativo

Messaggioda Foto Utenteboiler » 18 apr 2023, 15:43

dadduni ha scritto:E' interessante scoprire che questa e' una opinione non condivisa!

Trovo anch'io che ne escano riflessioni interessanti.
Per esempio, la tua scelta la trovavo fino a 2 minuti fa terribile.
Dopo la tua spiegazione continua a non piacermi, ma capisco i motivi che stanno dietro alla tua scelta.

Boiler
Avatar utente
Foto Utenteboiler
26,4k 5 9 13
G.Master EY
G.Master EY
 
Messaggi: 5602
Iscritto il: 9 nov 2011, 12:27

Prossimo

Torna a Elettronica generale

Chi c’è in linea

Visitano il forum: Nessuno e 212 ospiti