Mi si è rotta la soundbar. Gli altoparlanti sono ancora buoni, l’elettronica no.
Ho deciso di tenerla e sostituire l'elettronica con qualcosa di fai-da-te.
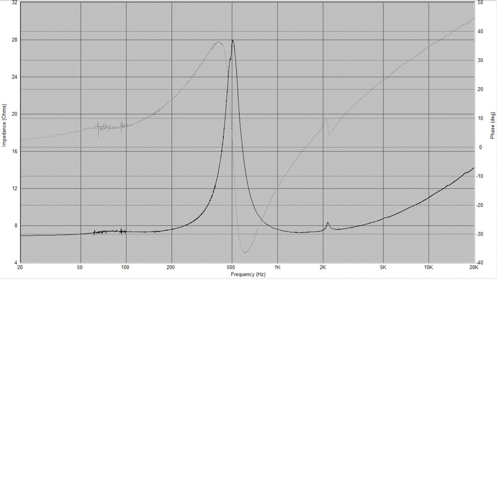
L'unica informazione sugli altoparlanti che ho è la seguente:
Main Speaker: 66 mm Full-range Cone x 2 with Copper ring
Built-in Subwoofer: 77 mm Cone Woofer x 2
Dove mettereste la frequenza di crossover? Non posso estrapolarla dalla vecchia elettronica perché questo valore è sepolto tra i bytes del DSP defunto
Boiler

Elettrotecnica e non solo (admin)
Un gatto tra gli elettroni (IsidoroKZ)
Esperienza e simulazioni (g.schgor)
Moleskine di un idraulico (RenzoDF)
Il Blog di ElectroYou (webmaster)
Idee microcontrollate (TardoFreak)
PICcoli grandi PICMicro (Paolino)
Il blog elettrico di carloc (carloc)
DirtEYblooog (dirtydeeds)
Di tutto... un po' (jordan20)
AK47 (lillo)
Esperienze elettroniche (marco438)
Telecomunicazioni musicali (clavicordo)
Automazione ed Elettronica (gustavo)
Direttive per la sicurezza (ErnestoCappelletti)
EYnfo dall'Alaska (mir)
Apriamo il quadro! (attilio)
H7-25 (asdf)
Passione Elettrica (massimob)
Elettroni a spasso (guidob)
Bloguerra (guerra)





