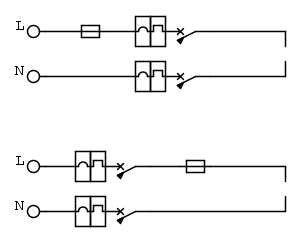
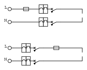
StefanoSunda ha scritto:Si stesso effetto! Però si montano a valle quando si vuole privilegiare la sicurezza, ossia la possibilità d sostituire i fusibili in assenza di tensione. Con gli attuali portafusibili sezionabili e l’adozione di fusibili dotati di percussore anche questa soluzione consente di asservire l’interruttore ai fusibili rendendo impossibile tramite appositi leveraggi la chiusura dell’interruttore in assenza o con fusibili guasti. La sostituzione delle cartucce inoltre avviene senza pericolo, in quanto le parti in tensione sono protette.Ma nel caso in cui io lo installassi a valle, essendo sempre in serie, non otterrei lo stesso effetto limitante a protezione del dispositivo?
Io non ne sono convintissimo. Lo dico senza alcuna presunzione.
Secondo me si deve proteggere a monte il dispositivo dalle sovracorrenti (sia corto che sovraccarico).

Elettrotecnica e non solo (admin)
Un gatto tra gli elettroni (IsidoroKZ)
Esperienza e simulazioni (g.schgor)
Moleskine di un idraulico (RenzoDF)
Il Blog di ElectroYou (webmaster)
Idee microcontrollate (TardoFreak)
PICcoli grandi PICMicro (Paolino)
Il blog elettrico di carloc (carloc)
DirtEYblooog (dirtydeeds)
Di tutto... un po' (jordan20)
AK47 (lillo)
Esperienze elettroniche (marco438)
Telecomunicazioni musicali (clavicordo)
Automazione ed Elettronica (gustavo)
Direttive per la sicurezza (ErnestoCappelletti)
EYnfo dall'Alaska (mir)
Apriamo il quadro! (attilio)
H7-25 (asdf)
Passione Elettrica (massimob)
Elettroni a spasso (guidob)
Bloguerra (guerra)







