Buongiorno,
Sto utilizzando l'applicativo Microcap 10 per delle simulazioni di cortocircuito.
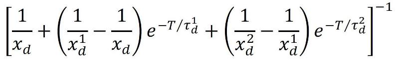
Sto simulando, in modo molto approssimativo, il comportamento al verificarsi di un cortocircuito (trifase, bifase, bifase a terra, monofase a terra) di un alternatore collegato ad una rete a vuoto. Ho creato un semplice circuito equivalente di macchina considerando 3 generatori di tensione sfasati tra loro di 120°. In serie ho inserito la resistenza di fase statorica e una reattanza variabile che simuli il comportamento delle reattanze di asse diretto della macchina al verificarsi del cortocircuito; quindi (la reattanza subtransitoria, reattanza transitoria e reattanza diretta). Conoscendo le relative costanti di tempo e la relativa formula (vedi allegato), come posso implementarla con Microcap?
Avevo pensato di riportare la formula così com'è nel campo "value" della maschera relativa al componente "Inductor" ma, leggendo il manuale, mi sembra che la variabile T non viene considerata come "tempo" ma invece vine considerata come "temperatura". Come posso invece renderla variabile nel tempo.
Grazie
Cordiali saluti
Induttanza variabile nel tempo con Microcap 10
1 messaggio
• Pagina 1 di 1
0
voti
- Allegati
-
- Formula.jpg (13.75 KiB) Osservato 1802 volte
1 messaggio
• Pagina 1 di 1
Torna a Programmi applicativi: simulatori, CAD ed altro
Chi c’è in linea
Visitano il forum: Nessuno e 2 ospiti

Elettrotecnica e non solo (admin)
Un gatto tra gli elettroni (IsidoroKZ)
Esperienza e simulazioni (g.schgor)
Moleskine di un idraulico (RenzoDF)
Il Blog di ElectroYou (webmaster)
Idee microcontrollate (TardoFreak)
PICcoli grandi PICMicro (Paolino)
Il blog elettrico di carloc (carloc)
DirtEYblooog (dirtydeeds)
Di tutto... un po' (jordan20)
AK47 (lillo)
Esperienze elettroniche (marco438)
Telecomunicazioni musicali (clavicordo)
Automazione ed Elettronica (gustavo)
Direttive per la sicurezza (ErnestoCappelletti)
EYnfo dall'Alaska (mir)
Apriamo il quadro! (attilio)
H7-25 (asdf)
Passione Elettrica (massimob)
Elettroni a spasso (guidob)
Bloguerra (guerra)