Cos'è ElectroYou | Login Iscriviti

ElectroYou - la comunità dei professionisti del mondo elettrico

Dubbio Thèvenin

Circuiti, campi elettromagnetici e teoria delle linee di trasmissione e distribuzione dell’energia elettrica

Moderatori: Foto Utenteg.schgor, Foto UtenteIsidoroKZ

0
voti

[1] Dubbio Thèvenin

Messaggioda Foto UtenteArya89 » 19 gen 2013, 13:08

Buondì a tutti ragazzi. Sto provando a svolgere questo esercizio ma non riesco a capire se sbaglio a calcolare la tensione a vuoto o la resistenza equivalente (o entrambe):

l miei dubbi sono:
1) Quando vado a calcolare l'impedenza equivalente (e quindi il GDC e il condensatore diventano degli aperti), i 4 bipoli restanti (che io considero come quattro impedenze nel campo complesso) sono in serie o in parallelo?!? Per me sono in serie...
2) Per calcolarmi la tensione a vuoto come imposto l'equazione? (Posto il relativo circuito)

Ho applicato il partitore di corrente per conoscere le correnti di L1 e R2 ma non mi trovo :(
Grazie a chi mi risponderà!!! :-)
Avatar utente
Foto UtenteArya89
80 5
Frequentatore
Frequentatore
 
Messaggi: 149
Iscritto il: 7 gen 2013, 10:54

2
voti

[2] Re: Dubbio Thèvenin

Messaggioda Foto UtenteDoeM » 19 gen 2013, 13:29

Arya89 ha scritto:1) Quando vado a calcolare l'impedenza equivalente (e quindi il GDC e il condensatore diventano degli aperti), i 4 bipoli restanti (che io considero come quattro impedenze nel campo complesso) sono in serie o in parallelo?!? Per me sono in serie...

Se intendi l'impedenza vista dal condensatore, i due rami diventano in parallelo, come da figura.



Arya89 ha scritto:2) Per calcolarmi la tensione a vuoto come imposto l'equazione? (Posto il relativo circuito)

Le correnti nei due rami sono banalmente uguali, e con la legge di Ohm ti ricavi semplicemente il valore della tensione a vuoto. Qual è il problema? Prova a postare i passaggi matematici.
Avatar utente
Foto UtenteDoeM
580 2 6
Expert
Expert
 
Messaggi: 182
Iscritto il: 11 lug 2011, 1:09

0
voti

[3] Re: Dubbio Thèvenin

Messaggioda Foto UtenteArya89 » 19 gen 2013, 13:51

Grazie delle risponsta!!!
Quindi essendo in parallelo l'impedenza equivalente dovrebbe essere:
Z_{eq}= \frac{ (Z_{R_1}+Z_{L_1}) \cdot (Z_{L_2}+Z_{R_2})}{Z_{R_1}+Z_{L_1} + Z_{L_2} + Z_{R2}}=25+25j

Per la seconda invece ho calcolato I_Z_{L_1} e I_Z_{R_2} usando il partitore di corrente:
I_Z_{L_1}= J \frac {Z_{R_2}}{Z_{R_2}+Z_{L_1}}=0,1-0,1J (J è un'impedenza)
(stesso procedimento per l'altra corrente cambiando ovviamente il numeratore)
I_Z_{R_2}= J \frac {Z_{L_1}}{Z_{R_2}+Z_{L_1}}=0,1+0,1J
Dunque: (sono tutte impedenze)
E_0=I_Z_{R_2} \cdot Z_{R_2} + I_Z_{L_1} \cdot Z_{L_1} ?? Mi sa che ho fatto un po' di confusione... @_@
Avatar utente
Foto UtenteArya89
80 5
Frequentatore
Frequentatore
 
Messaggi: 149
Iscritto il: 7 gen 2013, 10:54

1
voti

[4] Re: Dubbio Thèvenin

Messaggioda Foto UtenteDoeM » 19 gen 2013, 14:08

Arya89 ha scritto:Per la seconda invece ho calcolato I_Z_{L_1} e I_Z_{R_2} usando il partitore di corrente:
I_Z_{L_1}= J \frac {Z_{R_2}}{Z_{R_2}+Z_{L_1}}=0,1-0,1J (J è un'impedenza)
(stesso procedimento per l'altra corrente cambiando ovviamente il numeratore)
I_Z_{R_2}= J \frac {Z_{L_1}}{Z_{R_2}+Z_{L_1}}=0,1+0,1J


È completamente errata l'applicazione del partitore di corrente. Ricontrolla meglio le formule per il partitore di corrente.

Per esempio: per il circuito in figura, come si calcola I_{Z_1}? E se ti dicessi che Z_1 = Z_{R_1} + Z_{L_1} e che Z_2 = Z_{R_2} + Z_{L_2}?

Avatar utente
Foto UtenteDoeM
580 2 6
Expert
Expert
 
Messaggi: 182
Iscritto il: 11 lug 2011, 1:09

0
voti

[5] Re: Dubbio Thèvenin

Messaggioda Foto UtenteArya89 » 19 gen 2013, 14:15

Immaginavo che fosse lì l'errore :oops:
quindi dovrei scrivere:

I_{Z_1}= \frac {Z_2}{Z_1+Z_2}?
Sostituendo alle Z_1 e Z_2, le relative somme giuste???
Avatar utente
Foto UtenteArya89
80 5
Frequentatore
Frequentatore
 
Messaggi: 149
Iscritto il: 7 gen 2013, 10:54

0
voti

[6] Re: Dubbio Thèvenin

Messaggioda Foto UtenteDoeM » 19 gen 2013, 14:16

Arya89 ha scritto:Sostituendo alle Z_1 e Z_2, le relative somme giuste???


Eh sì. :ok:

PS
I_{Z_1}= J\frac {Z_2}{Z_1+Z_2}
Avatar utente
Foto UtenteDoeM
580 2 6
Expert
Expert
 
Messaggi: 182
Iscritto il: 11 lug 2011, 1:09

0
voti

[7] Re: Dubbio Thèvenin

Messaggioda Foto UtenteArya89 » 19 gen 2013, 14:21

Ah si scusa un errore del genere all'esame e te lo sei praticamente giocato!! D:
Ora vado ad apportare le modifiche e vediamo!!! Grazie ancora come sempre gentilissimi :D :D
Avatar utente
Foto UtenteArya89
80 5
Frequentatore
Frequentatore
 
Messaggi: 149
Iscritto il: 7 gen 2013, 10:54

0
voti

[8] Re: Dubbio Thèvenin

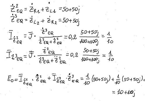
Messaggioda Foto UtenteArya89 » 19 gen 2013, 15:54

Purtroppo continuo a non trovarmi =(
L'impedenza equivalente, facendo il parallelo come consigliato da DoeM, mi esce
Z_{eq}=25+25j
mentre:
E_0=10+10j
Applicando la formula per calcolare il fasore della corrente del condensatore ho:
I_c=\frac {E_0}{Z_{eq}+Z_C}
ma tale numero complesso portato nel dominio del tempo non mi fa trovare con la soluzione del libro che è:
i_C(t)=0,089  cos(500t+0,46)
Avatar utente
Foto UtenteArya89
80 5
Frequentatore
Frequentatore
 
Messaggi: 149
Iscritto il: 7 gen 2013, 10:54

1
voti

[9] Re: Dubbio Thèvenin

Messaggioda Foto UtenteDoeM » 19 gen 2013, 16:38

Arya89 ha scritto:mentre:
E_0=10+10j


Hai sbagliato a calcolare E_0. Riporta i passaggi matematici che hai effettuato.
Il resto è corretto, però ovviamente il risultato ti viene diverso perché c'è questo errore.
Avatar utente
Foto UtenteDoeM
580 2 6
Expert
Expert
 
Messaggi: 182
Iscritto il: 11 lug 2011, 1:09

0
voti

[10] Re: Dubbio Thèvenin

Messaggioda Foto UtenteArya89 » 19 gen 2013, 16:49

Allego direttamente i calcoli
Allegati
es.JPG
es.JPG (27.47 KiB) Osservato 3665 volte
Avatar utente
Foto UtenteArya89
80 5
Frequentatore
Frequentatore
 
Messaggi: 149
Iscritto il: 7 gen 2013, 10:54

Prossimo

Torna a Elettrotecnica generale

Chi c’è in linea

Visitano il forum: Nessuno e 20 ospiti