Cos'è ElectroYou | Login Iscriviti

ElectroYou - la comunità dei professionisti del mondo elettrico

Convoluzione tra seno e impulso rettangolare

Analisi, geometria, algebra, topologia...

Moderatori: Foto UtentePietroBaima, Foto UtenteIanero

0
voti

[1] Convoluzione tra seno e impulso rettangolare

Messaggioda Foto Utenteellosma » 31 ott 2014, 11:48

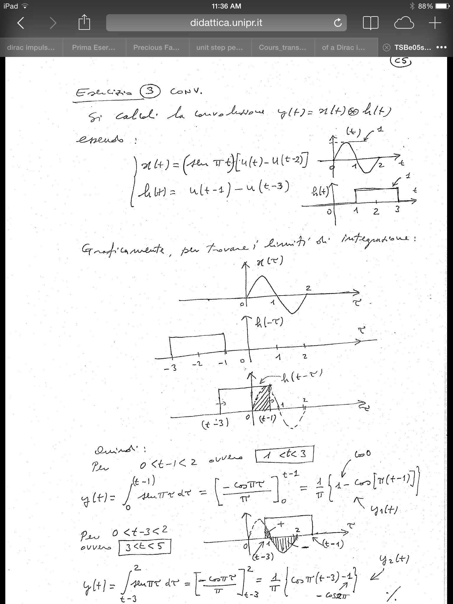
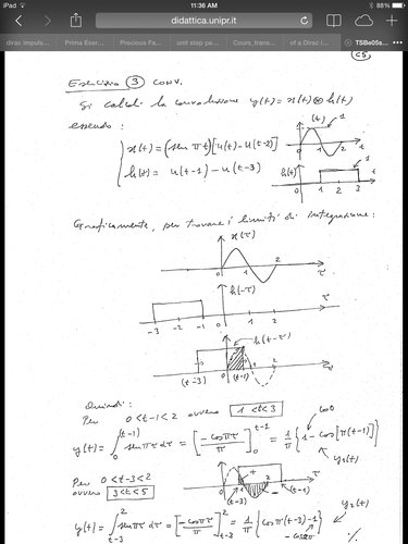
Devo svolgere la convoluzione di questi due segnali
x(t) = (sen \pi t ){ u(t) - u (t-2) }
h(t) = u(t-1) - u(t-3)


Nel primo caso mi risulta un grafico periodico che incontra l'asse x nel punti 0 , 1 e 2 (ecc)
Nel secondo caso il grafico mi risulta essere un rettangolo che in contra l'asse x nei punti 1 e 3.

Per eseguire la convoluzione ruoto rispetto all'asse y il secondo grafico. In questo modo il grafico avrà estremi t -3 et - 1 , spostandolo verso desta.

Per t-1 < 0, così come per t-3>0 la convoluzione non esiste

Spostando il secondo grafico verso destra allora la convoluzione risulta essere , secondo me, \int_{1}^{0}{sen \pi(t- \tau) d\tau} - \int_{t-1}^{1}{sen \pi(t- \tau) d\tau}

Nella risoluzione invece il mio professore scrive \int_{0}^{t-1}{sen \pi(t) d\tau} :? Qualcuno potrebbe spiegarmi il motivo ? Dato che sono le prime convoluzioni che svolgo ho cercato di aiutarmi nello scrivere l'integrale attraverso questi esercizi http://www-dsp.elet.polimi.it/fst-tubaro/Esercizi/Es_Conv.pdf che mi sono stati consigliati nel post precedente
Avatar utente
Foto Utenteellosma
130 1 2 6
Frequentatore
Frequentatore
 
Messaggi: 214
Iscritto il: 25 gen 2012, 18:21

0
voti

[2] Re: Convoluzione tra seno e impulso rettangolare

Messaggioda Foto UtenteRussell » 31 ott 2014, 13:13

Ora non ho modo di studiare il tuo problema
ti segnalo solo, per via di quello che hai scritto, che potrebbe tornarti utile una proprietà della convoluzione
ovvero vedi x(t) come la somma di x1(t) + x2(t)
bene la convoluzione tra h(t) e x(t) equivale alla somma delle convoluzioni tra h(t) con x1(t) e x2(t)
credo che analizzzare separatamente i due termini ti semplifichi la vita
Avatar utente
Foto UtenteRussell
3.373 3 5 9
Master
Master
 
Messaggi: 2193
Iscritto il: 4 ott 2009, 10:25

0
voti

[3] Re: Convoluzione tra seno e impulso rettangolare

Messaggioda Foto Utenteellosma » 4 nov 2014, 12:07

Foto UtenteRussell ho provato a fare come mi hai detto e ha ruotare il seno invece di h(t) ma non riesco a saltarci fuori :oops: ho cercato esercizi simili anche in forum inglesi e francesi ma ogni volta risolvono con Fourier :/ ho la pagina con la soluzione , passo passo , ma non riesco nemmeno a capire come ha fatto il mio professore #-o l'unica certezza che avevo era il sen(\pi (t- \tau)) e lui mi ha cancellato anche questa dato che il - \tau non lo mette
Avatar utente
Foto Utenteellosma
130 1 2 6
Frequentatore
Frequentatore
 
Messaggi: 214
Iscritto il: 25 gen 2012, 18:21

0
voti

[4] Re: Convoluzione tra seno e impulso rettangolare

Messaggioda Foto UtenteRussell » 4 nov 2014, 12:31

ellosma ha scritto:l'unica certezza che avevo era il sen(\pi (t- \tau))e lui mi ha cancellato anche questa dato che il - \tau non lo mette


ma non è che lui tiene fermo il seno, e va a traslare l'altra funzione (ovvero h(t) ) che è un rettangolo e quindi piu' comodo da muovere?
Avatar utente
Foto UtenteRussell
3.373 3 5 9
Master
Master
 
Messaggi: 2193
Iscritto il: 4 ott 2009, 10:25

0
voti

[5] Re: Convoluzione tra seno e impulso rettangolare

Messaggioda Foto Utenteellosma » 4 nov 2014, 12:40

Si , lascia fisso il seno, ma mentre in tutti gli altri esercizi che ho svolto io sottraevo ( e così faceva lui ) l'integrale se il grafico era sotto l'asse x , ora invece nella sua soluzione non separa più ogni sezione e opera sugli integrali, ma ne fa uno unico #-o dato che al milionesimo tentativo non mi tornava ancora , allora ho provato ad invertire il seno ma anche in quel caso il risultato non mi torna
Allegati
image.jpg
Avatar utente
Foto Utenteellosma
130 1 2 6
Frequentatore
Frequentatore
 
Messaggi: 214
Iscritto il: 25 gen 2012, 18:21

0
voti

[6] Re: Convoluzione tra seno e impulso rettangolare

Messaggioda Foto UtenteRussell » 4 nov 2014, 12:52

Si confermo, rileggendo quello che hai scritto l'errore è li'
quando calcoli la convoluzione a mano (graficamente) una funzione sta' ferma, l'altra si ribalta e trasla
tieni a mente sempre la definizione
http://it.wikipedia.org/wiki/Convoluzione#Definizione
o tieni ferma f e ribalti+trasli g, o tieni ferma g e ribalti+trasli f

nel tuo caso conviene tenere ferma la funzione x(t), che è piu' complessa
nell'integrale scriverai x(tau)
a muoverai (per semplicità) la funzione h(t), e quindi dovrai scrivere h(t-tau) nell'integrale
a quel punto integri in d-tau... che equivale a dire applichi tutte le varie traslazioni una per una

il tuo prof intanto fa' notare che essendo il segnale x(t) non nullo solo tra 0 e 2 l'integrale sarà definito e semplice da risolvere analiticamente.

disegna h(-tau) tanto per far vedere come si ribalta
poi disegna h(t-tau) per la generica traslazione

fa' notare che se t è tale che le 2 funzioni non si toccano l'integrale (del prodotto) sara' nullo
mentre quando il rettangolino si sovrappone (parzialmente) con la funzione x(t) l'integrale è non nullo per via dell'area di intersezione (tratteggiata in figura)

poi banalmente si cambiano i limiti dell'integrale, che invece di andare da -infinito a +infinito, li limita all'area di intersezione

il resto sono calcoli derivanti dall'integrale.

Ripete poi parte del ragionamento per via del fatto che il rettangolo puo' anche sovrapporsi sulla parte terminale della funzione x(t), e il caso va trattato a parte perche' cambino i limiti di integrazione per via della diversa sovrapposizione
Avatar utente
Foto UtenteRussell
3.373 3 5 9
Master
Master
 
Messaggi: 2193
Iscritto il: 4 ott 2009, 10:25


Torna a Matematica generale

Chi c’è in linea

Visitano il forum: Nessuno e 16 ospiti