Cos'è ElectroYou | Login Iscriviti

ElectroYou - la comunità dei professionisti del mondo elettrico

Scomposizione in fratti semplici

Analisi, geometria, algebra, topologia...

Moderatori: Foto UtentePietroBaima, Foto UtenteIanero

0
voti

[1] Scomposizione in fratti semplici

Messaggioda Foto Utentestdio93 » 10 apr 2015, 10:03

Buongiorno a tutti, mi trovo qui al culmine di tre giorni di penare sul calcolo di un'anti-trasformata Zeta (Ho inoltre già chiesto aiuto ma niente...). Ad un certo punto mi trovo con la quantità: \frac{z^3}{(z - 1)^2(z+1)} da antitrasformare. Seguendo la linea della soluzione proposta dal professore decido dunque di procedere con la decomposizione in fratti semplici, per ottenere qualcosa di conosciuto sulla tabella delle trasformate. Il problema che si presenta ora è che non ricordo più come si fa la decomposizione. Cercando sui libri, nel web ecc. trovo metodi ad hoc per casi specifici e puri esempi. Sapreste fornirmi una metodologia generale per procedere? Magari anche un link che rimandi ad essa...
Vi ringrazio in anticipo!
Avatar utente
Foto Utentestdio93
8 1 2 6
New entry
New entry
 
Messaggi: 58
Iscritto il: 18 mag 2013, 10:57


1
voti

[3] Re: Scomposizione in fratti semplici

Messaggioda Foto Utentefairyvilje » 10 apr 2015, 10:14

La metodologia generale usa formule piuttosto complesse da ricordare a memoria, ma esistono. Altrimenti si fa a mano, ricostruendo il sistema lineare ogni volta.

Guarda qui a pagina 10. Nel caso di poli con molteplicità 1 si semplifica di molto.
"640K ought to be enough for anybody" Bill Gates (?) 1981
Qualcosa non ha funzionato...

Lo sapete che l'arroganza in informatica si misura in nanodijkstra? :D
Avatar utente
Foto Utentefairyvilje
15,0k 4 9 12
G.Master EY
G.Master EY
 
Messaggi: 3047
Iscritto il: 24 gen 2012, 19:23

1
voti

[4] Re: Scomposizione in fratti semplici

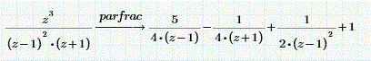
Messaggioda Foto Utenteg.schgor » 10 apr 2015, 12:06

Segnalo anche la possibilità di convertire direttamente
con istruzioni Mathcad Prime
Parfrac.gif
Parfrac.gif (9.97 KiB) Osservato 11009 volte
Avatar utente
Foto Utenteg.schgor
57,8k 9 12 13
G.Master EY
G.Master EY
 
Messaggi: 16971
Iscritto il: 25 ott 2005, 9:58
Località: MILANO

0
voti

[5] Re: Scomposizione in fratti semplici

Messaggioda Foto Utentegill90 » 10 apr 2015, 14:57

Per i casi semplici a me torna utile la decomposizione in fratti tramite sistema lineare, ma anche l'uso dei residui è una tecnica estremamente funzionale. Io la uso quando ci sono più di 3-4 addendi, semplifica enormemente i calcoli ed è più diretta.
Avatar utente
Foto Utentegill90
4.146 3 7 12
G.Master EY
G.Master EY
 
Messaggi: 1134
Iscritto il: 1 set 2011, 16:18

0
voti

[6] Re: Scomposizione in fratti semplici

Messaggioda Foto Utentestdio93 » 11 apr 2015, 8:49

Grazie mille davvero a tutti per l'aiuto! :D
Avatar utente
Foto Utentestdio93
8 1 2 6
New entry
New entry
 
Messaggi: 58
Iscritto il: 18 mag 2013, 10:57

0
voti

[7] Re: Scomposizione in fratti semplici

Messaggioda Foto Utentestdio93 » 12 apr 2015, 11:40

Chiedo scusa nuovamente. Ho provato a risolvere manualmente l'esercizio, ottengo che:
\frac{z^3}{(z-1)^2(z+1)}=1+\frac{A}{z-1}+\frac{B}{(z-1)^2}+\frac{C}{z+1}
Quindi calcolo B, C in modo corretto, ottenendo risultati corretti. Poi mi accingo a calcolare A otenendo:
\lim_{x\to\infty} (z-1)\bullet \frac{z^3}{(z-1)^2(z+1)} Ovviamente semplifico il semplificabile e ottengo \frac{3}{2}. Come mai accade ciò? Il mio stupore deriva più che altro dal fatto che nel caso degli altri coefficienti i risultati tornano tutti... :shock:
Grazie di nuovo! :D
Avatar utente
Foto Utentestdio93
8 1 2 6
New entry
New entry
 
Messaggi: 58
Iscritto il: 18 mag 2013, 10:57

0
voti

[8] Re: Scomposizione in fratti semplici

Messaggioda Foto Utentefairyvilje » 12 apr 2015, 14:28

Manca una derivata in giro :). Non sei nel caso di poli semplici.
"640K ought to be enough for anybody" Bill Gates (?) 1981
Qualcosa non ha funzionato...

Lo sapete che l'arroganza in informatica si misura in nanodijkstra? :D
Avatar utente
Foto Utentefairyvilje
15,0k 4 9 12
G.Master EY
G.Master EY
 
Messaggi: 3047
Iscritto il: 24 gen 2012, 19:23

3
voti

[9] Re: Scomposizione in fratti semplici

Messaggioda Foto Utentegill90 » 12 apr 2015, 14:53

Se hai un'espressione del tipo 1+\frac{A}{z-1}+\frac{B}{(z-1)^2}+\frac{C}{z+1}, allora ti ritrovi un doppio polo nel punto z=1. Solitamente quando vuoi calcolare il valore del residuo corrispondente al polo semplice z_n fai \lim_{z \to z_n} (z-z_n) f(z)}, in questo modo "elimini" gli altri termini e lasci solo il coefficiente relativo al polo z_n. Quando invece hai un polo doppio, occorre apportare delle modifiche: l'obiettivo finale è sempre quello di "cancellare" gli altri termini e lasciare solo quello relativo al polo che devi calcolare.
Nel tuo caso, per trovare ad esempio il coefficiente B (termine (z-1)^2, fai
\lim_{z\to 1} (z-1)^2 \left( 1+\frac{A}{z-1}+\frac{B}{(z-1)^2}+\frac{C}{z+1} \right)}=(z-1)^2+A}(z-1)+B+C\frac{(z-1)^2}{z+1}
Se esegui il limite ti resta infine solo il termine B. In questo senso il limite che ti calcoli poi numericamente corrisponde al risultato di B, proprio perché utilizzi una tecnica che "elimini" gli altri contributi e lasci solo quello interessato.
Se invece vuoi calcolarti A, proseguendo allo stesso modo di sopra ricavi:
\lim_{z\to 1} (z-1) \left( 1+\frac{A}{z-1}+\frac{B}{(z-1)^2}+\frac{C}{z+1} \right)}=(z-1)+A+\frac{B}{z-1}+C\frac{z-1}{z+1}
E facendo il limite stavolta non ti resta come risultato solo A, in quanto c'è uno z-1 al denominatore di B che sballa tutto, per cui il risultato che trovi NON è relativo al termine A, diversamente al caso precedente in cui dopo i calcoli restava esattamente il solo termine B.
Per questo la tecnica nel caso di poli doppi è quella di derivare l'espressione al fine di ricavare una formulazione in termini del solo A. Riguardando l'espressione calcolata sopra per B, cioè
\lim_{z\to 1} (z-1)^2 \left( 1+\frac{A}{z-1}+\frac{B}{(z-1)^2}+\frac{C}{z+1} \right)}=(z-1)^2+A}(z-1)+B+C\frac{(z-1)^2}{z+1}
puoi vedere che, derivando rispetto a z questa espressione, ti resta
(z-1)+A+2C\frac{z-1}{(z+1)^2}
e facendone il limite per z \to 1 ti resta solo A.

Nel caso di poli doppi, quindi, per calcolare il coefficiente relativo al termine (z-z_n)^2 fai \lim_{z \to z_n} (z-z_n)^2 f(z)}; per il coefficiente (z-z_n), invece, fai prima (z-z_n)^2 f(z)}, successivamente derivi rispetto a z e infine fai il limite per z \to z_n.
Senza questa operazione il risultato deve venirti sbagliato, perché quello che vai cercando non è coefficiente del termine z-z_n!
Avatar utente
Foto Utentegill90
4.146 3 7 12
G.Master EY
G.Master EY
 
Messaggi: 1134
Iscritto il: 1 set 2011, 16:18


Torna a Matematica generale

Chi c’è in linea

Visitano il forum: Nessuno e 8 ospiti