Ciao a tutti,
qualcuno puo spiegarmi il senso fisico degli errori di velocita e di posizione? Mi piacerebbe capire come ricavarli dal diagramma di bode.
Mattia
Errore di velocità e diagrammi di bode
Moderatori:
dimaios,
carlomariamanenti
18 messaggi
• Pagina 1 di 2 • 1, 2
5
voti
Errore di posizione: vai avanti di 3m e il sistema fa solo, ad esempio, il 95% di quanto gli hai detto, poi si ferma.
Errore di velocita`: muoviti a 10cm/s a velocita` costante e il sistema dopo tutti i transitori, viaggia solo, ad esempio, al 90% di quanto gli hai detto.
Per vedere se hai errore di posizione o di velocita` devi guardare il guadagno di anello (non il guadagno ad anello chiuso): se e` di tipo 1 non hai errore di posizione, se di tipo 2 non hai errore di velocita`.
Se e` di tipo 0 hai errore di posizione che dipende dal guadagno in bassa frequenza del guadagno di anello. Se e` di tipo 1 hai errore di velocita` che dipende dal guadagno della parte integrativa del guadagno di anello.
Errore di velocita`: muoviti a 10cm/s a velocita` costante e il sistema dopo tutti i transitori, viaggia solo, ad esempio, al 90% di quanto gli hai detto.
Per vedere se hai errore di posizione o di velocita` devi guardare il guadagno di anello (non il guadagno ad anello chiuso): se e` di tipo 1 non hai errore di posizione, se di tipo 2 non hai errore di velocita`.
Se e` di tipo 0 hai errore di posizione che dipende dal guadagno in bassa frequenza del guadagno di anello. Se e` di tipo 1 hai errore di velocita` che dipende dal guadagno della parte integrativa del guadagno di anello.
Per usare proficuamente un simulatore, bisogna sapere molta più elettronica di lui
Plug it in - it works better!
Il 555 sta all'elettronica come Arduino all'informatica! (entrambi loro malgrado)
Se volete risposte rispondete a tutte le mie domande
Plug it in - it works better!
Il 555 sta all'elettronica come Arduino all'informatica! (entrambi loro malgrado)
Se volete risposte rispondete a tutte le mie domande
3
voti
Aggiunta sull'errore di velocita`, dato che ho messo insieme due definizioni diverse.
Se la grandezza di ingresso e di uscita sono delle velocita` (ad esempio cruise control di un'auto, oppure automanetta di un aereo), allora l'errore di velocita` e` quello che ho detto prima, e questo errore e` nullo se il guadagno di anello ha UN polo nell'origine (tipo 1).
Se invece le grandezze di ingresso e uscita sono delle posizioni e vuoi vedere come si comporta il sistema quando all'ingresso al posto di una posizione fissa dai una rampa (vuoi che l'uscita si sposti a velocita` costante) allora puoi avere questi tre casi, a seconda che nel guadagno di anello ci siano 0 poli nell'origine, un polo o due poli.
Se non ci sono poli nell'origine (sistema di tipo 0), l'uscita avra` una velocita` diversa dall'ingresso e l'errore fra la posizione che vuoi e quella effettiva sale sempre di piu` perche' l'uscita si muove a velocita` diversa dall'ingresso: il pratica l'uscita non riesce a stare dietro all'ingresso, viene sempre piu` distaccata.
Se nel sistema c'e` un polo nell'origine del guadagno di anello (sistema di tipo 1, quello che da` errore di posizione nullo), allora se l'ingresso di posizione si muove a velocita` costante, l'uscita insegue alla stesa velocita`, ma a regime ha un errore costante che non riesce ad annullare. Questo distacco pero` rimane limitato.
Infine se il sistema ha un guadagno di anello con due poli nell'origine e l'ingresso e` sempre la solita rampa (velocita` costante), allora l'uscita in transitorio rimane indietro, poi pero` recupera e va esattamente al valore voluto.
Io mi immagino i tre casi come due ciclisti che pedalano insiene e tranquilli. Uno dei due scatta e comincia ad andare a velocita` maggiore. Nel primo caso l'altro ciclista prova a scattare ma non ce la fa a stargli dietro e il distacco aumenta sempre piu`.
Nel secondo caso, anche il secondo scatta, con un po' di ritardo, quindi viene distaccato, ma poi riesce ad andare alla velocita` di quello davanti e il distacco non aumenta piu`, a meno che quello davanti non scatti un'altra volta aumentando ancora la velcita`: qui il secondo scatta anche lui, ma il distacco diventa piu` grande, senza pero` aumentare nel tempo.
Infine nel terzo caso uno dei due scatta, l'altro rimane momentaneamente indietro, poi pero` accelera, raggiunge quello davanti e da li` in poi viaggiano di nuovo insieme.
Se la grandezza di ingresso e di uscita sono delle velocita` (ad esempio cruise control di un'auto, oppure automanetta di un aereo), allora l'errore di velocita` e` quello che ho detto prima, e questo errore e` nullo se il guadagno di anello ha UN polo nell'origine (tipo 1).
Se invece le grandezze di ingresso e uscita sono delle posizioni e vuoi vedere come si comporta il sistema quando all'ingresso al posto di una posizione fissa dai una rampa (vuoi che l'uscita si sposti a velocita` costante) allora puoi avere questi tre casi, a seconda che nel guadagno di anello ci siano 0 poli nell'origine, un polo o due poli.
Se non ci sono poli nell'origine (sistema di tipo 0), l'uscita avra` una velocita` diversa dall'ingresso e l'errore fra la posizione che vuoi e quella effettiva sale sempre di piu` perche' l'uscita si muove a velocita` diversa dall'ingresso: il pratica l'uscita non riesce a stare dietro all'ingresso, viene sempre piu` distaccata.
Se nel sistema c'e` un polo nell'origine del guadagno di anello (sistema di tipo 1, quello che da` errore di posizione nullo), allora se l'ingresso di posizione si muove a velocita` costante, l'uscita insegue alla stesa velocita`, ma a regime ha un errore costante che non riesce ad annullare. Questo distacco pero` rimane limitato.
Infine se il sistema ha un guadagno di anello con due poli nell'origine e l'ingresso e` sempre la solita rampa (velocita` costante), allora l'uscita in transitorio rimane indietro, poi pero` recupera e va esattamente al valore voluto.
Io mi immagino i tre casi come due ciclisti che pedalano insiene e tranquilli. Uno dei due scatta e comincia ad andare a velocita` maggiore. Nel primo caso l'altro ciclista prova a scattare ma non ce la fa a stargli dietro e il distacco aumenta sempre piu`.
Nel secondo caso, anche il secondo scatta, con un po' di ritardo, quindi viene distaccato, ma poi riesce ad andare alla velocita` di quello davanti e il distacco non aumenta piu`, a meno che quello davanti non scatti un'altra volta aumentando ancora la velcita`: qui il secondo scatta anche lui, ma il distacco diventa piu` grande, senza pero` aumentare nel tempo.
Infine nel terzo caso uno dei due scatta, l'altro rimane momentaneamente indietro, poi pero` accelera, raggiunge quello davanti e da li` in poi viaggiano di nuovo insieme.
Per usare proficuamente un simulatore, bisogna sapere molta più elettronica di lui
Plug it in - it works better!
Il 555 sta all'elettronica come Arduino all'informatica! (entrambi loro malgrado)
Se volete risposte rispondete a tutte le mie domande
Plug it in - it works better!
Il 555 sta all'elettronica come Arduino all'informatica! (entrambi loro malgrado)
Se volete risposte rispondete a tutte le mie domande
0
voti
Mi riferivo a sistemi dinamici retroazionati in generale.
Ok grazie ho capito il senso fisico. Il discorso sui tipi mi è chiaro. Però ho dei problemi a progettare. Nel senso che mentre modifico il compensatore per soddisfare alcune specifiche non riesco a tenere docchio le altre sul diagramma di bode ( in particolare i vari errori).
Per esempio devo progettare un compensatore per questo sistema e ottenere le seguenti specifiche:

richieste:
- margine di fase mp > 45°
- errore di velocita piu piccolo che si riesce a ottenere
- fedelta alla risposta migliore che si riesce a ottenere
io procedo cosi:
metto nella forma delle costanti di tempo:

su matlab:
num = 100
den = conv([1 0], conv([1/10 1],[1/10 1]))
G = tf(num, den)
roots = roots(den)
num =
100
den =
0.0100 0.2000 1.0000 0
G =
100
----------------------
0.01 s^3 + 0.2 s^2 + s
Continuous-time transfer function.
roots =
0.0000 + 0.0000i
-10.0000 + 0.0000i
-10.0000 - 0.0000i
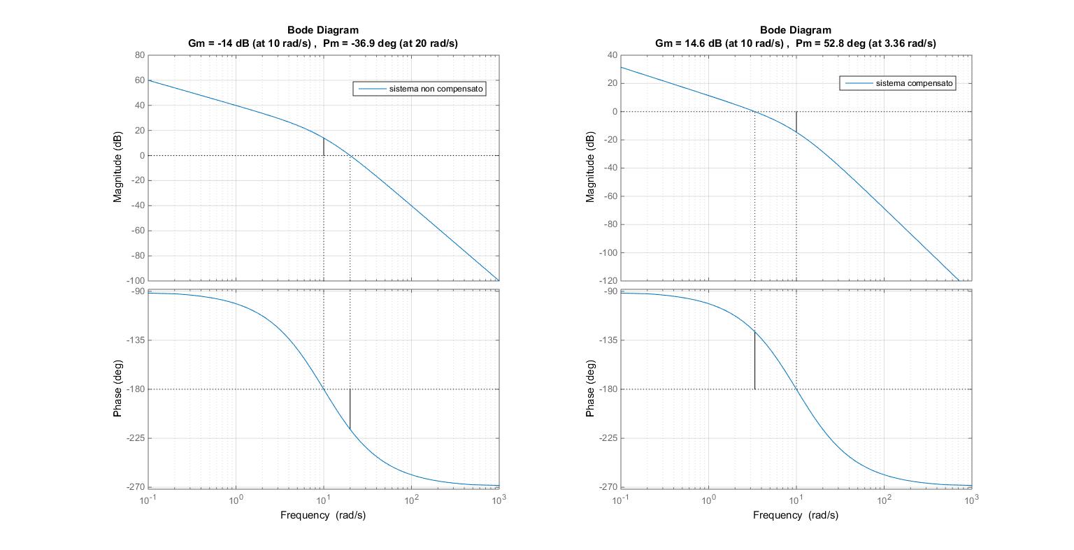
margin(G)
ottengo un margine di fase negativo.
per ottenere il margine di fase corretto faccio C(s) = 1/26,7
cosi tiro giu la frequenza di taglio .
adesso plotto i diagrammi di bode del sistema compesato e non compensato.
Qui viene il mio problema, mi dicono che adesso l'errore di velocità è peggiorato e anche la fedelta alla risposta. Io sinceramente dal grafico non riesco a vederlo. Saprei calcolarlo usando le seguenti formule. Pero in fase di progettazione questo è troppo scomodo, perche mi ritrovo a fare calcoli per cose che poi magari andavano bene
Per calcolare l'errore di velocita uso questa formula:
ERRORE SISTEMA NON COMPENSATO


%
ERRORE SISTEMA COMPENSATO

%
Per quanto riguarda la fedelta alla risposta non saprei da che parte cominciare. Mi sembra una richiesta vaga.
Ok grazie ho capito il senso fisico. Il discorso sui tipi mi è chiaro. Però ho dei problemi a progettare. Nel senso che mentre modifico il compensatore per soddisfare alcune specifiche non riesco a tenere docchio le altre sul diagramma di bode ( in particolare i vari errori).
Per esempio devo progettare un compensatore per questo sistema e ottenere le seguenti specifiche:

richieste:
- margine di fase mp > 45°
- errore di velocita piu piccolo che si riesce a ottenere
- fedelta alla risposta migliore che si riesce a ottenere
io procedo cosi:
metto nella forma delle costanti di tempo:

su matlab:
num = 100
den = conv([1 0], conv([1/10 1],[1/10 1]))
G = tf(num, den)
roots = roots(den)
num =
100
den =
0.0100 0.2000 1.0000 0
G =
100
----------------------
0.01 s^3 + 0.2 s^2 + s
Continuous-time transfer function.
roots =
0.0000 + 0.0000i
-10.0000 + 0.0000i
-10.0000 - 0.0000i
margin(G)
ottengo un margine di fase negativo.
per ottenere il margine di fase corretto faccio C(s) = 1/26,7
cosi tiro giu la frequenza di taglio .
adesso plotto i diagrammi di bode del sistema compesato e non compensato.
Qui viene il mio problema, mi dicono che adesso l'errore di velocità è peggiorato e anche la fedelta alla risposta. Io sinceramente dal grafico non riesco a vederlo. Saprei calcolarlo usando le seguenti formule. Pero in fase di progettazione questo è troppo scomodo, perche mi ritrovo a fare calcoli per cose che poi magari andavano bene
Per calcolare l'errore di velocita uso questa formula:
ERRORE SISTEMA NON COMPENSATO


%ERRORE SISTEMA COMPENSATO

%Per quanto riguarda la fedelta alla risposta non saprei da che parte cominciare. Mi sembra una richiesta vaga.
0
voti
Con che cosa confronti il sistema compensato? Dici che l'errore di velocita` e` peggiorato, ma rispetto a che cosa? A prima che mettessi il compensatore C(s)? Stessa domanda per la fedelta`
Il confronto, se fatto con il sistema senza C(s), non ha senso perche' se hai margine di fase negativo e oscilla, non puoi usarlo.
Che cosa puoi usare, quali tipi di compensatori, per compensare l'impianto?
Poi meglio chiamare in aiuto qualche controllista vero, ad esempio
dimaios 
Il confronto, se fatto con il sistema senza C(s), non ha senso perche' se hai margine di fase negativo e oscilla, non puoi usarlo.
Che cosa puoi usare, quali tipi di compensatori, per compensare l'impianto?
Poi meglio chiamare in aiuto qualche controllista vero, ad esempio
Per usare proficuamente un simulatore, bisogna sapere molta più elettronica di lui
Plug it in - it works better!
Il 555 sta all'elettronica come Arduino all'informatica! (entrambi loro malgrado)
Se volete risposte rispondete a tutte le mie domande
Plug it in - it works better!
Il 555 sta all'elettronica come Arduino all'informatica! (entrambi loro malgrado)
Se volete risposte rispondete a tutte le mie domande
0
voti
I confronti sono fatti rispetto a senza compensatore.
Hai ragione che non posso usare il sistema senza compensatore perche è instabile, diciamo che il confronto è: " fatti salvi i problemi di stabilità". Solo per evidenziare che l'errore è peggiorato e che quindi avrei forse dovuto applicare qualcos'altro invece di un amplificatore.
Posso usare integratori e derivatori. In questo caso un integratore risolve il problema senza modificare l'errore di velocità.
Anche se non mi è del tutto chiaro come calcolare i parametri. Quindi resto in attesa di qualche consiglio dai meglio informati.
Nel frattempo mi sono chiarito un po' le idee per quanto riguarda riuscire a "vedere" l'errore di velocita dai diagrammi di bode, se interessa a qualcuno il modo è il seguente:
si traccia l'asintoto alle basse frequenze e si guarda l'intersezione con la frequenza unitaria. Il valore del modulo di quel punto corrispnde al valore di K_p, K_v o K_a a seconda del tipo di sistema. Chiaramente nel mio caso poiche è un sistema del primo tipo sarà K_v. In questo caso quello è il valore di K_v in decibel che devo quindi convertire.
Quindi mettendo un amplificatore andro sempre a modificare l'errore di velocità. Se invece uso un integratore posizionato nel punto giusto, ovvero a destra della frequenza unitaria, posso modificare il margine di fase e lasciare l'errore intatto.
Hai ragione che non posso usare il sistema senza compensatore perche è instabile, diciamo che il confronto è: " fatti salvi i problemi di stabilità". Solo per evidenziare che l'errore è peggiorato e che quindi avrei forse dovuto applicare qualcos'altro invece di un amplificatore.
Posso usare integratori e derivatori. In questo caso un integratore risolve il problema senza modificare l'errore di velocità.
Anche se non mi è del tutto chiaro come calcolare i parametri. Quindi resto in attesa di qualche consiglio dai meglio informati.
Nel frattempo mi sono chiarito un po' le idee per quanto riguarda riuscire a "vedere" l'errore di velocita dai diagrammi di bode, se interessa a qualcuno il modo è il seguente:
si traccia l'asintoto alle basse frequenze e si guarda l'intersezione con la frequenza unitaria. Il valore del modulo di quel punto corrispnde al valore di K_p, K_v o K_a a seconda del tipo di sistema. Chiaramente nel mio caso poiche è un sistema del primo tipo sarà K_v. In questo caso quello è il valore di K_v in decibel che devo quindi convertire.
Quindi mettendo un amplificatore andro sempre a modificare l'errore di velocità. Se invece uso un integratore posizionato nel punto giusto, ovvero a destra della frequenza unitaria, posso modificare il margine di fase e lasciare l'errore intatto.
3
voti
Quando si definisce una funzione di trasferimento bisogna sempre indicare l'ingresso e l'uscita del sistema per capire quali siano le variabili in gioco.
Detto questo, e supponendo che il tuo sistema abbia un reference in velocità è palese che risulti instabile per via dell'integratore.
A questo punto è obbligatorio retroazionarlo per renderlo stabile.
La risposta ideale sarebbe quella che insegue perfettamente il riferimento in ingresso senza ritardo per cui :

Questa f.d.t. non è realizzabile perché richiederebbe un controllore anticausale e quindi non realizzabile.
Per rendersene conto basta fare un semplice tentativo in catena aperta tentando di invertire la funzione di trasferimento originaria ( tentativo bizzarro di sintesi diretta ).

implica

Che è chiaramente irrealizzabile.
Non rimane che ottenere la miglior approssimazione di
che non dia origine a regolatori
irrealizzabili.
Questo si può ottenere in vari modi. Quello più classico consiste nell'ipotizzare una struttura di
e cercare i parametri che soddisfano le specifiche.
La ricerca della soluzione si traduce quasi sempre nella soluzione di un problema di ottimizzazione vincolata non lineare.
Personalmente preferisco procedere in modo diverso.
In un caso come quello indicato procederei con la parametrizzazione di Youla-Kucera caratterizzando tutti i compensatori stabili e in questo anello di funzioni razionali proprie e stabili andrei a cercare quella ottima.
Il fatto di imporre la stabilità forte del controllore ha indubbi vantaggi in quanto limita la ricerca nell'area di interesse.
Infatti non è buona regola stabilizzare un sistema instabile con un controllore instabile anche se da un punto di vista teorico la soluzione potrebbe esistere.
Detto questo, e supponendo che il tuo sistema abbia un reference in velocità è palese che risulti instabile per via dell'integratore.
A questo punto è obbligatorio retroazionarlo per renderlo stabile.
La risposta ideale sarebbe quella che insegue perfettamente il riferimento in ingresso senza ritardo per cui :

Questa f.d.t. non è realizzabile perché richiederebbe un controllore anticausale e quindi non realizzabile.
Per rendersene conto basta fare un semplice tentativo in catena aperta tentando di invertire la funzione di trasferimento originaria ( tentativo bizzarro di sintesi diretta ).

implica

Che è chiaramente irrealizzabile.
Non rimane che ottenere la miglior approssimazione di
che non dia origine a regolatori
irrealizzabili.Questo si può ottenere in vari modi. Quello più classico consiste nell'ipotizzare una struttura di
e cercare i parametri che soddisfano le specifiche.La ricerca della soluzione si traduce quasi sempre nella soluzione di un problema di ottimizzazione vincolata non lineare.
Personalmente preferisco procedere in modo diverso.
In un caso come quello indicato procederei con la parametrizzazione di Youla-Kucera caratterizzando tutti i compensatori stabili e in questo anello di funzioni razionali proprie e stabili andrei a cercare quella ottima.
Il fatto di imporre la stabilità forte del controllore ha indubbi vantaggi in quanto limita la ricerca nell'area di interesse.
Infatti non è buona regola stabilizzare un sistema instabile con un controllore instabile anche se da un punto di vista teorico la soluzione potrebbe esistere.
Ingegneria : alternativa intelligente alla droga.
-

dimaios
30,2k 7 10 12 - G.Master EY

- Messaggi: 3381
- Iscritto il: 24 ago 2010, 14:12
- Località: Behind the scenes
0
voti
Ti ringrazio per la spiegazione esaustiva.
Gli errori sono ricavati con questa formula:

quindi credo che le rishieste siano riferite al valore ideale ideale 1
Visto che sono agli inizi penso di dover passare per l'approccio classico, ovvero ho il mio integratore di equazione:

Potresti spiegarmi come determino i parametri alpha e omega 1 in questo caso?
Gli errori sono ricavati con questa formula:

quindi credo che le rishieste siano riferite al valore ideale ideale 1
Visto che sono agli inizi penso di dover passare per l'approccio classico, ovvero ho il mio integratore di equazione:

Potresti spiegarmi come determino i parametri alpha e omega 1 in questo caso?
0
voti
daymos ha scritto:..... ovvero ho il mio integratore di equazione:
E quello secondo te sarebbe un integratore ?
In virtù di quale principio ?
![arrabbiato "[#]"](./images/smilies/angry (1).gif)
Ingegneria : alternativa intelligente alla droga.
-

dimaios
30,2k 7 10 12 - G.Master EY

- Messaggi: 3381
- Iscritto il: 24 ago 2010, 14:12
- Località: Behind the scenes
18 messaggi
• Pagina 1 di 2 • 1, 2
Torna a Automazione industriale ed azionamenti
Chi c’è in linea
Visitano il forum: Nessuno e 2 ospiti

Elettrotecnica e non solo (admin)
Un gatto tra gli elettroni (IsidoroKZ)
Esperienza e simulazioni (g.schgor)
Moleskine di un idraulico (RenzoDF)
Il Blog di ElectroYou (webmaster)
Idee microcontrollate (TardoFreak)
PICcoli grandi PICMicro (Paolino)
Il blog elettrico di carloc (carloc)
DirtEYblooog (dirtydeeds)
Di tutto... un po' (jordan20)
AK47 (lillo)
Esperienze elettroniche (marco438)
Telecomunicazioni musicali (clavicordo)
Automazione ed Elettronica (gustavo)
Direttive per la sicurezza (ErnestoCappelletti)
EYnfo dall'Alaska (mir)
Apriamo il quadro! (attilio)
H7-25 (asdf)
Passione Elettrica (massimob)
Elettroni a spasso (guidob)
Bloguerra (guerra)




