Cos'è ElectroYou | Login Iscriviti

ElectroYou - la comunità dei professionisti del mondo elettrico

Drift maggioritari in un diodo

Leggi e teorie della fisica

Moderatori: Foto UtenteIsidoroKZ, Foto UtentePietroBaima, Foto UtenteIanero

0
voti

[1] Drift maggioritari in un diodo

Messaggioda Foto Utenteslashino » 20 ago 2015, 12:55

Salve a tutti,

ho un dubbio riguardo il moto dei portatori maggioritari in una giunzione PN.
Consideriamo il diodo in polarizzazione diretta; nelle regioni P ed N vengono iniettati, rispettivamente, elettroni e lacune.
Nell'ambito dell'approssimazione di quasi neutral regions al gradiente di minoritari corrisponde uno stesso gradiente di maggioritari, ovvero \delta_{n}(x) = \delta_{p}(x) (come nella seguente figura).

Facendo riferimento alla regione N, per esempio, le lacune diffondono da sinistra a destra. Sebbene vi sia un gradiente di elettroni, essi in quella regione devono muoversi necessariamente per deriva da destra a sinistra, in modo tale da attraversare la regione di svuotamento e diffondere nella regione P.
Conseguenza diretta dell'ultima affermazione è che debba esserci un campo elettrico positivo nella regione N, e quindi vi sia un piegamento delle bande di questo tipo (accentuato in figura):

Il discorso fatto finora mi sembra abbastanza lineare; cioè che mi lascia un perplesso è la forma assunta dalle bande nella seconda figura perché non l'ho mai vista su nessun libro. Mi rendo conto che il piegamento sarebbe davvero minimo a causa dell'elevata densità dei portatori maggioritari, ma mi sarei aspettato almeno una rappresentazione per fini didattici. Da qui il mio dubbio.

Cosa ne pensate? E' corretto il secondo grafico?

Grazie :ok:
Avatar utente
Foto Utenteslashino
378 2 5 7
CRU - Account cancellato su Richiesta utente
 
Messaggi: 528
Iscritto il: 15 mag 2012, 17:15

0
voti

[2] Re: Drift maggioritari in un diodo

Messaggioda Foto Utenteslashino » 20 ago 2015, 14:29

Mi sono accorto che il secondo disegno non è coerente con il discorso fatto. Adesso dovrebbe esserlo:
Avatar utente
Foto Utenteslashino
378 2 5 7
CRU - Account cancellato su Richiesta utente
 
Messaggi: 528
Iscritto il: 15 mag 2012, 17:15

4
voti

[3] Re: Drift maggioritari in un diodo

Messaggioda Foto Utenteafz » 20 ago 2015, 15:32

Ciao, provo a risponderti, in attesa di interventi molto più autorevoli e corretti :-)

Spero di non dire cose demenziali

slashino ha scritto:...è che debba esserci un campo elettrico positivo nella regione N, e quindi vi sia un piegamento delle bande di questo tipo...

Sì direi di sì. La maggior parte del potenziale applicato alla giunzione p-n cade sulla regione svuotata, ma anche le regioni p e n "bulk" hanno una loro resistività (ovviamente molto più piccola della resistività nella zona di svuotamento), per cui anche quelle regioni hanno una caduta di potenziale associata (cioè è presente un campo elettrico).

E' corretto il secondo grafico?

Sì, secondo me è corretto. Come hai detto, il piegamento è minimo. Credo che solo in caso di correnti "assurde" (cioè potenziali applicati alla giunzione enormi) il piegamento è più accentuato.

Per confronto, posto i risultati che ho ottenuto con questo tool, usando la configurazione di giunzione pn di default.

All'equilibrio, le bande sono le seguenti:

V1.JPG
V1.JPG (31.48 KiB) Osservato 10046 volte


Invece, applicando alla giunzione 0.6 V, si ottiene il seguente andamento:

V2.JPG
V2.JPG (29.25 KiB) Osservato 10046 volte


(le linee rosse in mezzo sono quelle dei Quasi Fermi levels).
Avatar utente
Foto Utenteafz
1.770 1 3 8
Expert EY
Expert EY
 
Messaggi: 375
Iscritto il: 24 dic 2011, 11:02
Località: Provincia di Pavia

0
voti

[4] Re: Drift maggioritari in un diodo

Messaggioda Foto Utenteslashino » 20 ago 2015, 16:45

In effetti dalla simulazione è abbastanza evidente la curvatura delle bande.
Grazie mille per la risposta.

Non vorrei approfittarne, ma non è che dal tool si potrebbe tirar fuori una versione ingradita della depletion region con i Quasi Fermi Levels? :D
Ovviamente se la cosa non è impegnativa...
Avatar utente
Foto Utenteslashino
378 2 5 7
CRU - Account cancellato su Richiesta utente
 
Messaggi: 528
Iscritto il: 15 mag 2012, 17:15

3
voti

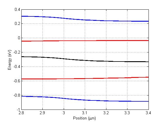
[5] Re: Drift maggioritari in un diodo

Messaggioda Foto Utenteafz » 20 ago 2015, 17:21

Una cosa del genere?

V1.jpg


V2.jpg


(in blu Ev e Ec, in nero Ei e in rosso i quasi level)
Avatar utente
Foto Utenteafz
1.770 1 3 8
Expert EY
Expert EY
 
Messaggi: 375
Iscritto il: 24 dic 2011, 11:02
Località: Provincia di Pavia

0
voti

[6] Re: Drift maggioritari in un diodo

Messaggioda Foto Utenteslashino » 20 ago 2015, 19:36

Sì, grazie.

Avresti una spiegazione intuitiva convincente sul perché i Quasi Fermi Levels si mantengano quasi costanti all'interno della regione di svuotamento?
Avatar utente
Foto Utenteslashino
378 2 5 7
CRU - Account cancellato su Richiesta utente
 
Messaggi: 528
Iscritto il: 15 mag 2012, 17:15

5
voti

[7] Re: Drift maggioritari in un diodo

Messaggioda Foto UtenteDrCox » 21 ago 2015, 10:01

I pseudo-livelli di Fermi si mantengono praticamente costanti all'interno delle regioni svuotate per il seguente motivo.

Ricordiamo come viene definito lo pseudo-potenziale di Fermi. Lo pseudo-potenziale di Fermi altro non è che una funzione ausiliaria che ci consente di esprimere la densità di corrente, composta sia dal termine ohmico che dal termine diffusivo, con un unico termine ohmico.
Data la densità di corrente degli elettroni:
{\bar J_n} = q\mu_nn{\bar F}+qD_n\nabla n
lo pseudo-potenziale di Fermi è quel termine \varphi_n tale che:
{\bar J_n} =- q\mu_nn\nabla \varphi_n

All'interno di una regione svuotata, vale:
q\mu_nn{\bar F} \simeq -qD_p\nabla n
e analoga relazione per le lacune.

Ricordando la definizione di pseudo-potenziale di Fermi, abbiamo dunque \nabla \varphi_n \simeq 0
Pertanto, in una regione svuotata lo pseudo-potenziale di Fermi resta costante, mantenendosi al medesimo livello a cui si trova nella regione del portatore maggioritario, e cambiando poi bruscamente appena arriva all'interfaccia con la regione dove il portatore diventa minoritario.
"The past is not really the past until it has been registered. Or put another way, the past has no meaning or existence unless it exists as a record in the present."
John Archibald Wheeler
Avatar utente
Foto UtenteDrCox
2.738 2 8 12
Master EY
Master EY
 
Messaggi: 744
Iscritto il: 8 giu 2010, 21:42

0
voti

[8] Re: Drift maggioritari in un diodo

Messaggioda Foto Utenteslashino » 21 ago 2015, 10:26

DrCox ha scritto:All'interno di una regione svuotata, vale:
q\mu_nn{\bar F} \simeq -qD_p\nabla n
e analoga relazione per le lacune.


Potresti spendere qualche parola su questa quasi-uguaglianza?
La corrente nel dispositivo in regime stazionario è costante in ogni punto, non capisco perché debba crollare quasi a 0 nella regione di svuotamento.

Grazie :D
Avatar utente
Foto Utenteslashino
378 2 5 7
CRU - Account cancellato su Richiesta utente
 
Messaggi: 528
Iscritto il: 15 mag 2012, 17:15

3
voti

[9] Re: Drift maggioritari in un diodo

Messaggioda Foto UtenteDrCox » 21 ago 2015, 15:38

slashino ha scritto:
DrCox ha scritto:All'interno di una regione svuotata, vale:
q\mu_nn{\bar F} \simeq -qD_n\nabla n
e analoga relazione per le lacune.


Potresti spendere qualche parola su questa quasi-uguaglianza?


All'interno di una regione svuotata, J_n NON è nulla. Tuttavia, per quanto grande sia (anche se considerassimo un valore grande come 1000 A/cm^2), è comunque trascurabile rispetto ai due termini q\mu_nn{\bar F} e qD_n\nabla n presi singolarmente (lo stesso ragionamento infatti NON può essere fatto all'interno di regioni quasi neutre, in quanto lì il campo ed il gradiente non sono particolarmente elevati).
"The past is not really the past until it has been registered. Or put another way, the past has no meaning or existence unless it exists as a record in the present."
John Archibald Wheeler
Avatar utente
Foto UtenteDrCox
2.738 2 8 12
Master EY
Master EY
 
Messaggi: 744
Iscritto il: 8 giu 2010, 21:42

0
voti

[10] Re: Drift maggioritari in un diodo

Messaggioda Foto Utenteslashino » 22 ago 2015, 11:18

Ok, sono d'accordo con il tuo messaggio, ma la cosa non mi chiarisce le idee (probabilmente mi sto perdendo qualcosa).
Consideriamo una giunzione PN, polarizzata in diretta, per esempio.
In generale :
J_n=q D_n \nabla n + q \mu_n n F= q D_n \nabla n - q \mu_n n |F|, dal momento che il campo elettrico è negativo.
Ora, con l'introduzione del quasi Fermi level:
q D_n \nabla n - q \mu_n n |F|= n\mu_n \nabla E_{f_{n}}

Non mi sembra che dire che q D_n \nabla n\simeq q \mu_n n |F| >> n\mu_n \nabla E_{f_{n}} ci autorizzi a concludere che n\mu_n \nabla E_{f_{n}} \simeq 0; l'ultima disuguaglianza include un confronto tra n\mu_n \nabla E_{f_{n}} e 0, non tra n\mu_n \nabla E_{f_{n}} e i termini che la compongono. Equivalentemente, la differenza tra due termini molto grandi, e non molto diversi, non è approssimabile con 0.

Spero di aver ben intenso il tuo ultimo messaggio e di non esser partito per la tangente. :-)
Grazie.
Avatar utente
Foto Utenteslashino
378 2 5 7
CRU - Account cancellato su Richiesta utente
 
Messaggi: 528
Iscritto il: 15 mag 2012, 17:15

Prossimo

Torna a Fisica generale

Chi c’è in linea

Visitano il forum: Nessuno e 6 ospiti