
mi dite cosa sono
ed
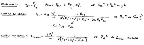
? Quale sarebbe la resistenza del rotore ?
Moderatori:
SandroCalligaro,
mario_maggi,
fpalone

ed
? parisi57 ha scritto:Mi può scrivere l'espressione della coppia massima ?
Visitano il forum: Nessuno e 9 ospiti