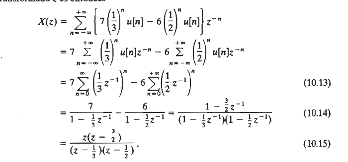
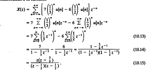
A me l'equazione 10.15 viene:

risultato che poi mi torna con la stessa descomposizione in frazioni parziali dell'esempio.
Invece:

porta ad un altro risultato, che differisce per una somma di 1.
Mi piacerebbe sapere se io sono rinco (in tal caso ditemelo pure), se e dove sbaglio nel fare i calcoli..
Ringrazio in anticipo.


Elettrotecnica e non solo (admin)
Un gatto tra gli elettroni (IsidoroKZ)
Esperienza e simulazioni (g.schgor)
Moleskine di un idraulico (RenzoDF)
Il Blog di ElectroYou (webmaster)
Idee microcontrollate (TardoFreak)
PICcoli grandi PICMicro (Paolino)
Il blog elettrico di carloc (carloc)
DirtEYblooog (dirtydeeds)
Di tutto... un po' (jordan20)
AK47 (lillo)
Esperienze elettroniche (marco438)
Telecomunicazioni musicali (clavicordo)
Automazione ed Elettronica (gustavo)
Direttive per la sicurezza (ErnestoCappelletti)
EYnfo dall'Alaska (mir)
Apriamo il quadro! (attilio)
H7-25 (asdf)
Passione Elettrica (massimob)
Elettroni a spasso (guidob)
Bloguerra (guerra)

volte nella vita 
a quella con
non hai "ribaltato" il denominatore o lo hai dimenticato per strada. 
