Salve a tutti,
circa il circuito in allegato ho provato a calcolare la V equivalente ma risulta errato il valore da me trovato.
Nell'impostazione della formula di Millman non ho tenuto conto della resistenza da 3 ohm. Potrebbe essere questo il problema? Si può usare Millman in questo caso?
La formula da me utilizzata è nell'immagine.
Grazie.
Teorema Millman
Moderatori:
g.schgor,
IsidoroKZ
7 messaggi
• Pagina 1 di 1
0
voti
davicos ha scritto:Si può usare Millman in questo caso?
No. Millman si applica a reti con due nodi. La tua ne ha tre.
Puoi invece applicare il teorema di
Se vuoi usare Millman devi eliminare un nodo sostituendo la parte di rete nell'area colorata con il suo generatore equivalente
0
voti
Immaginavo. La V segnata in blu l'ho calcolata in un modo (scritta blu), mentre il professore in un altro (scritta nera) che comunque dovrebbe essere uguale eppure i risultati non combaciano, come mai?
- Allegati
-
- Capture2.PNG (4.77 KiB) Osservato 4269 volte
-
- Capture.PNG (59.28 KiB) Osservato 4269 volte
0
voti
Qual è il valore che tu hai trovato e come lo hai trovato?
Qual è quello del prof. e come lo ha trovato?
Hai scritto solo parte dei procedimenti: concludili.
Usa FidoCadJ per gli schemi e LaTeX per le formule
Qual è quello del prof. e come lo ha trovato?
Hai scritto solo parte dei procedimenti: concludili.
Usa FidoCadJ per gli schemi e LaTeX per le formule
0
voti
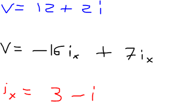
Mi serve solo capire perché le due equazioni delle
non sono uguali.
Il circuito è quello in figura ed il professore usa la kvl nella maglia di destra dove è presente
mentre io uso la maglia di sinistra dove è presente
. Effettuando la sostituzione
nella equazione del professore dovrebbe risultare lo stesso ed invece diventa
.
Non capisco questo..
non sono uguali.Il circuito è quello in figura ed il professore usa la kvl nella maglia di destra dove è presente
mentre io uso la maglia di sinistra dove è presente
. Effettuando la sostituzione
nella equazione del professore dovrebbe risultare lo stesso ed invece diventa
. Non capisco questo..
7 messaggi
• Pagina 1 di 1
Torna a Elettrotecnica generale
Chi c’è in linea
Visitano il forum: Nessuno e 33 ospiti

Elettrotecnica e non solo (admin)
Un gatto tra gli elettroni (IsidoroKZ)
Esperienza e simulazioni (g.schgor)
Moleskine di un idraulico (RenzoDF)
Il Blog di ElectroYou (webmaster)
Idee microcontrollate (TardoFreak)
PICcoli grandi PICMicro (Paolino)
Il blog elettrico di carloc (carloc)
DirtEYblooog (dirtydeeds)
Di tutto... un po' (jordan20)
AK47 (lillo)
Esperienze elettroniche (marco438)
Telecomunicazioni musicali (clavicordo)
Automazione ed Elettronica (gustavo)
Direttive per la sicurezza (ErnestoCappelletti)
EYnfo dall'Alaska (mir)
Apriamo il quadro! (attilio)
H7-25 (asdf)
Passione Elettrica (massimob)
Elettroni a spasso (guidob)
Bloguerra (guerra)




, la tua