Cos'è ElectroYou | Login Iscriviti

ElectroYou - la comunità dei professionisti del mondo elettrico

Chiarimento svolgimento esercizio circuito RLC.

Circuiti, campi elettromagnetici e teoria delle linee di trasmissione e distribuzione dell’energia elettrica

Moderatori: Foto Utenteg.schgor, Foto UtenteIsidoroKZ

0
voti

[1] Chiarimento svolgimento esercizio circuito RLC.

Messaggioda Foto UtenteFusilli » 25 gen 2018, 13:25

Buongiorno.
Avrei gentilmente bisogno di un chiarimento riguardo lo svolgimento di questo esercizio di elettrotecnica. Non è una materia, ne esame, del quale sono particolarmente portato, chiedo perdono di eventuali errori.
Vorrei il più possibile, a meno di errori, seguire e comprendere il procedimento che illustro.

L'esercizio in questione riguarda il seguente circuito.


La richiesta è il calcolo della tensione VR2 (tensione ai capi della resistenza R2) lungo tutto l'asse temporale.
Dati:
R1 = R2 = R3 = 1 ohm
L = 1H
C = 1F

ig(t) = 1 per t<0
ig(t) = 0 per t>=0

Analisi per t<0:
Pongo l'induttore in corto circuito, il condensatore in circuito aperto, analizzando il circuito fittizio:

Qui la prima domanda: sono giuste le sostituzioni che ho effettuato? Ne servono altre?

Proseguendo, pur sapendo che tutto è facilmente risolvibile attraverso partitori di corrente, vorrei capire per bene il metodo base maglie.
Applicandolo, viene:

\begin{pmatrix}
R1 & 0\\ 
0 & R2+R3
\end{pmatrix}
\binom{I1}{I2}
=
\binom{incognita1}{incognita2}

E qui la seconda domanda: cosa metto al posto di incognita1 e incognita2? So che ci andrebbero le tensioni dei generatori presenti nelle maglie, ma non ho il valore della tensione del generatore ig(t), non potendo quindi risolvere il sistema.

Una volta calcolate le correnti I1 e I2, mi calcolo le condizioni iniziali (V_{c}(0) e i_{L}(0) ) dell'analisi del secondo intervallo. Terza domanda: come posso farlo?


Analisi per t>=0
Sostituisco l'induttore con uno con impedenza sL con in serie un generatore di tensione L\cdot i_{L}(0), il condensatore con uno con impedenza \frac{1}{sC} con in serie un generatore di tensione \frac{V_{c}(0)}{s}. Pongo inoltre il generatore di corrente in circuito aperto in quanto in questo intervallo fornisce corrente nulla.

Quarta domanda, a prescindere dal tipo di generatore fornito e dal valore di tensione/corrente che eroga, in questa fase devo porli rispettivamente a corto circuito(generatore di tensione)/a circuito aperto(generatore di corrente)?

Circuito fittizio:


Posso procedere a questo punto di nuovo con il metodo base maglie:

\begin{pmatrix}
R1+R2+R3+sL & sL+R3\\ 
sL+R3 & R3+sL+\frac{1}{sC}
\end{pmatrix}
\binom{I1}{I2}
=
\binom{L\cdot i_{L}(0)}{\frac{V_{c}(0)}{s}}

Quindi, attraverso il metodo di Cramer, ricavarmi il valore di I1 e I2.
Da adesso in poi il procedimento mi è completamente ignoto. Come procedo? So che alla fine antitrasformando (secondo Laplace) otterrò l'evoluzione di VR2, ma non so cosa antitrasformare.

Un grazie infinito a chiunque abbia un po di pazienza di leggere tutto sto coso, e darmi una mano :D
Avatar utente
Foto UtenteFusilli
15 3
 
Messaggi: 21
Iscritto il: 24 gen 2018, 17:42

3
voti

[2] Re: Chiarimento svolgimento esercizio circuito RLC.

Messaggioda Foto UtenteIsidoroKZ » 25 gen 2018, 14:06

Rispondo solo alle prime due domande, poi diventa troppo complicato per me.

Il circuito equivalente che hai fatto per t<0 e` giusto. Per il metodo delle maglie devi considerare che ogni volta che passi per un generatore di corrente introduci un'incognita in piu`, che e` la tensione ai capi del generatore. Quindi incognita 1 e incognita 2 sono la stessa tensione ai capi del generatore. pero` ora hai 3 incognite ti serve una equazione in piu`, che ottieni dal nodo I1+I2=IG.

Tre equazioni in tre incognite al posto di un partitore non e` un buon affare :-)

La stessa situazione, in forma duale, capita quando usi i potenziali ai nodi, che sono le incognite e fai la somma delle correnti ad ogni nodo, scritte in funzione dei potenziali. Se la rete ha anche un generatore di tensione "vero", che non si puo` trasformare in un equivalente Norton, devi aggiungere una incognita che e` la corrente attraverso il generatore. Poi devi aggiungere anche una equazione in piu` che dice che la differenza di potenziale fra i due nodi cui e` collegato il generatore e` proprio la tensione del generatore.

In entrambi i casi si cercano delle soluzioni non cosi` formali, il modo da dover fare meno conti.
Per usare proficuamente un simulatore, bisogna sapere molta più elettronica di lui
Plug it in - it works better!
Il 555 sta all'elettronica come Arduino all'informatica! (entrambi loro malgrado)
Se volete risposte rispondete a tutte le mie domande
Avatar utente
Foto UtenteIsidoroKZ
121,2k 1 3 8
G.Master EY
G.Master EY
 
Messaggi: 21059
Iscritto il: 17 ott 2009, 0:00

1
voti

[3] Re: Chiarimento svolgimento esercizio circuito RLC.

Messaggioda Foto UtenteFusilli » 25 gen 2018, 15:50

Ti ringrazio infinitamente della risposta! Hai sicuramente ragione, un partitore è la via più immediata e giusta!

Ecco cosa mi mancava nel base maglie, la terza equazione! Proprio di questa ho un dubbio: i segni di I1 e I2 nella somma algebrica. Come li scelgo? Se per ipotesi il verso di I2 fosse stato opposto a quello disegnato, l'equaz. sarebbe stata IG = I1-I2? O sto dicendo cavolate?

Attendo fiducioso ulteriori aiuti :D
Avatar utente
Foto UtenteFusilli
15 3
 
Messaggi: 21
Iscritto il: 24 gen 2018, 17:42

1
voti

[4] Re: Chiarimento svolgimento esercizio circuito RLC.

Messaggioda Foto Utenteg.schgor » 25 gen 2018, 17:06

Perché non segui il consiglio del partitore di corrente (fig.2)?
Avatar utente
Foto Utenteg.schgor
57,8k 9 12 13
G.Master EY
G.Master EY
 
Messaggi: 16971
Iscritto il: 25 ott 2005, 9:58
Località: MILANO

0
voti

[5] Re: Chiarimento svolgimento esercizio circuito RLC.

Messaggioda Foto UtenteFusilli » 25 gen 2018, 17:14

perché ho necessità di capire anche l'altro metodo, non sempre negli esercizi tutto mi si riduce da poter utilizzare il partitore
Avatar utente
Foto UtenteFusilli
15 3
 
Messaggi: 21
Iscritto il: 24 gen 2018, 17:42

2
voti

[6] Re: Chiarimento svolgimento esercizio circuito RLC.

Messaggioda Foto Utenteg.schgor » 25 gen 2018, 17:47

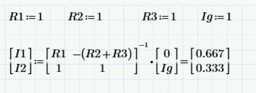
Allora con Kirchhoff:

Forum180125.gif
Avatar utente
Foto Utenteg.schgor
57,8k 9 12 13
G.Master EY
G.Master EY
 
Messaggi: 16971
Iscritto il: 25 ott 2005, 9:58
Località: MILANO

0
voti

[7] Re: Chiarimento svolgimento esercizio circuito RLC.

Messaggioda Foto UtenteFusilli » 25 gen 2018, 17:54

Grazie della risposta.

Spero in risposte anche agli altri miei dubbi
Avatar utente
Foto UtenteFusilli
15 3
 
Messaggi: 21
Iscritto il: 24 gen 2018, 17:42

2
voti

[8] Re: Chiarimento svolgimento esercizio circuito RLC.

Messaggioda Foto UtenteIsidoroKZ » 25 gen 2018, 18:15

I versi delle correnti li puoi prendere "a capocchia", non per nulla hanno inventato i numeri negativi :-) che pero` sono antipatici perche' talvolta il loro segno meno scappa.
Per usare proficuamente un simulatore, bisogna sapere molta più elettronica di lui
Plug it in - it works better!
Il 555 sta all'elettronica come Arduino all'informatica! (entrambi loro malgrado)
Se volete risposte rispondete a tutte le mie domande
Avatar utente
Foto UtenteIsidoroKZ
121,2k 1 3 8
G.Master EY
G.Master EY
 
Messaggi: 21059
Iscritto il: 17 ott 2009, 0:00

1
voti

[9] Re: Chiarimento svolgimento esercizio circuito RLC.

Messaggioda Foto Utenteg.schgor » 25 gen 2018, 18:25

Andiamo passo per passo.
Quali sono le condizioni iniziali
vC(0) e iL(0) al tempo t=0?
Avatar utente
Foto Utenteg.schgor
57,8k 9 12 13
G.Master EY
G.Master EY
 
Messaggi: 16971
Iscritto il: 25 ott 2005, 9:58
Località: MILANO

1
voti

[10] Re: Chiarimento svolgimento esercizio circuito RLC.

Messaggioda Foto UtenteFusilli » 25 gen 2018, 18:27

IsidoroKZ ha scritto:I versi delle correnti li puoi prendere "a capocchia", non per nulla hanno inventato i numeri negativi :-) che pero` sono antipatici perche' talvolta il loro segno meno scappa.


Perfetto, ti ringrazio veramente tanto dei chiarimenti! :D

g.schgor ha scritto:Andiamo passo per passo.
Quali sono le condizioni iniziali
vC(0) e iL(0) al tempo t=0?


Questo è uno dei problemi che mi è più ostico, non riesco a capire come calcolarmeli :?
Avatar utente
Foto UtenteFusilli
15 3
 
Messaggi: 21
Iscritto il: 24 gen 2018, 17:42

Prossimo

Torna a Elettrotecnica generale

Chi c’è in linea

Visitano il forum: Nessuno e 35 ospiti