Salve ragazzi, ho una perplessità, se ho un sistema a regime, e un ingresso del tipo: u(t)=-2*1(t), posso considerare questo ingresso come se fosse persistente, e quindi considerarlo come u(t)=-2?
grazie in anticipo!
Fondamenti di controllo automatici
Moderatori:
dimaios,
carlomariamanenti
-
dimaios
30,2k 7 10 12 - G.Master EY

- Messaggi: 3381
- Iscritto il: 24 ago 2010, 14:12
- Località: Behind the scenes
2
voti
[2] Re: Fondamenti di controllo automatici
No. Sono per definizione due segnali diversi per cui gli effetti sul sistema saranno diversi.
Ingegneria : alternativa intelligente alla droga.
0
voti
[3] Re: Fondamenti di controllo automatici
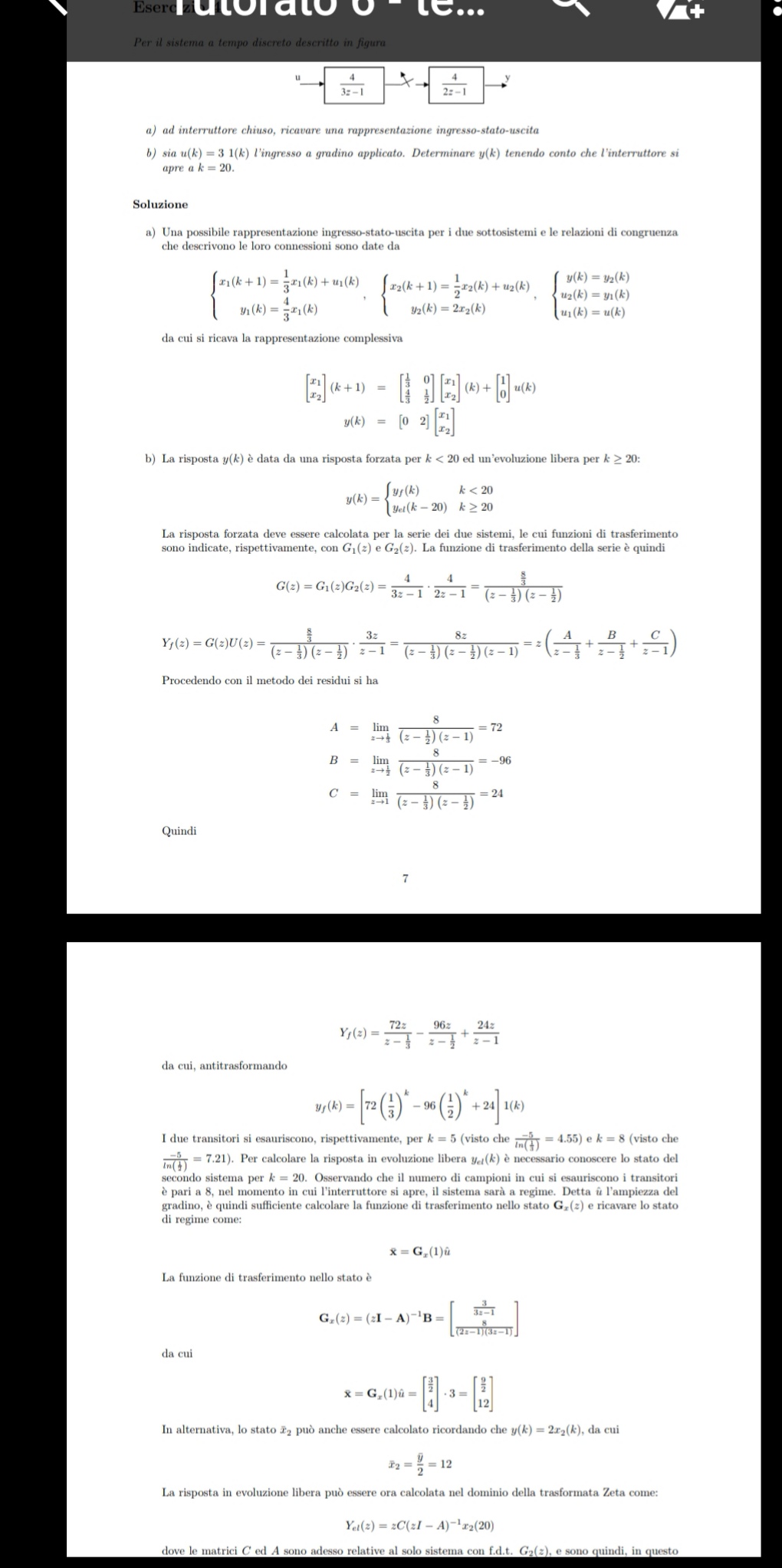
Ok, mi sai spiegare perché nell'esercizio che ho messo in allegato, l'ingresso u(k)=3*1(k), nel momento in cui il sistema è a regime e vado a calcolare lo stato per k=20, viene considerato (l'ingresso), solo uguale a 3?
Grazie in anticipo.
Grazie in anticipo.
-
dimaios
30,2k 7 10 12 - G.Master EY

- Messaggi: 3381
- Iscritto il: 24 ago 2010, 14:12
- Località: Behind the scenes
0
voti
[4] Re: Fondamenti di controllo automatici
Mi sembra evidente cosa succede ed è anche scritto molto bene nella soluzione dell'esercizio.
Siccome il transitorio è veloce e viene dimostrato che massimo dopo 8 campioni si può considerare esaurita la risposta libera del sistema all'ingresso a gradino, dopo 20 campioni siamo sicuri che il sistema è a regime per cui ci si limita a calcolare il valore dello stato a regime.
Essendo i filtri di tipo IIR ( hanno risposta impulsiva infinita ) questa è evidentemente una approssimazione ma se fai i conti con k=20 quanto valgono le potenze rispetto al valore di regime dell'uscita?
Oggettivamente l'approssimazione è valida.
A partire da questo poi si procede con l'apertura dell'interruttore dopo la quale il sistema
si scarica naturalmente a partire dallo stato precedentemente calcolato ( quello all'istante k=20 ).
La risposta che ho dato alla tua prima domanda trova un riscontro reale nell'esercizio.
In teoria i segnali di ingresso non sono assolutamente uguali perché se applichi l'ingresso da sempre ovvero da
non è come applicarlo in
ma svolgendo i calcoli vedi che l'effetto dell' evoluzione libera si estingue velocemente ( questo per la dinamica del particolare sistema ) per cui l'approssimazione è lecita.
In generale confermo che i due segnali di ingresso sono diversi per cui con dinamiche diverse non avresti potuto fare l'approssimazione.
Siccome il transitorio è veloce e viene dimostrato che massimo dopo 8 campioni si può considerare esaurita la risposta libera del sistema all'ingresso a gradino, dopo 20 campioni siamo sicuri che il sistema è a regime per cui ci si limita a calcolare il valore dello stato a regime.
Essendo i filtri di tipo IIR ( hanno risposta impulsiva infinita ) questa è evidentemente una approssimazione ma se fai i conti con k=20 quanto valgono le potenze rispetto al valore di regime dell'uscita?
Oggettivamente l'approssimazione è valida.
A partire da questo poi si procede con l'apertura dell'interruttore dopo la quale il sistema
si scarica naturalmente a partire dallo stato precedentemente calcolato ( quello all'istante k=20 ).La risposta che ho dato alla tua prima domanda trova un riscontro reale nell'esercizio.
In teoria i segnali di ingresso non sono assolutamente uguali perché se applichi l'ingresso da sempre ovvero da
non è come applicarlo in
ma svolgendo i calcoli vedi che l'effetto dell' evoluzione libera si estingue velocemente ( questo per la dinamica del particolare sistema ) per cui l'approssimazione è lecita.In generale confermo che i due segnali di ingresso sono diversi per cui con dinamiche diverse non avresti potuto fare l'approssimazione.
Ingegneria : alternativa intelligente alla droga.

Elettrotecnica e non solo (admin)
Un gatto tra gli elettroni (IsidoroKZ)
Esperienza e simulazioni (g.schgor)
Moleskine di un idraulico (RenzoDF)
Il Blog di ElectroYou (webmaster)
Idee microcontrollate (TardoFreak)
PICcoli grandi PICMicro (Paolino)
Il blog elettrico di carloc (carloc)
DirtEYblooog (dirtydeeds)
Di tutto... un po' (jordan20)
AK47 (lillo)
Esperienze elettroniche (marco438)
Telecomunicazioni musicali (clavicordo)
Automazione ed Elettronica (gustavo)
Direttive per la sicurezza (ErnestoCappelletti)
EYnfo dall'Alaska (mir)
Apriamo il quadro! (attilio)
H7-25 (asdf)
Passione Elettrica (massimob)
Elettroni a spasso (guidob)
Bloguerra (guerra)
