Devo capire assolutamente che tipo di controllore e' adatto a questo esercizio con queste specifiche.
L'ingresso e' una rampa con errore finito a monte del controllore perciò almeno nel primo caso h deve essere = 1 ,
tipo di sistema = 1 .
Nella seconda specifica pero' , non mi viene richiesto l' astatismo perché' l'errore e' finito e diverso da zero.
In base a queste definizioni , che tipo di controllore devo utilizzare ?
C(s) = Kc oppure c(s) = Kc/s ?
Kd e Kp sono di facile soluzione perche' H(s) = 1/kd = 2
e Kp = 5/12
Ringrazio chi mi aiuta . E' tropo importante per me capire questo concetto.
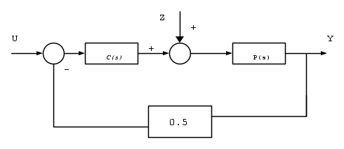
Esercizio :
Dato il sistema di controllo in figura determinare C(s)=Kc/s^h con h minimo in modo da soddisfare le seguenti specifiche a ciclo chiuso senza curarsi della stabilità.




Elettrotecnica e non solo (admin)
Un gatto tra gli elettroni (IsidoroKZ)
Esperienza e simulazioni (g.schgor)
Moleskine di un idraulico (RenzoDF)
Il Blog di ElectroYou (webmaster)
Idee microcontrollate (TardoFreak)
PICcoli grandi PICMicro (Paolino)
Il blog elettrico di carloc (carloc)
DirtEYblooog (dirtydeeds)
Di tutto... un po' (jordan20)
AK47 (lillo)
Esperienze elettroniche (marco438)
Telecomunicazioni musicali (clavicordo)
Automazione ed Elettronica (gustavo)
Direttive per la sicurezza (ErnestoCappelletti)
EYnfo dall'Alaska (mir)
Apriamo il quadro! (attilio)
H7-25 (asdf)
Passione Elettrica (massimob)
Elettroni a spasso (guidob)
Bloguerra (guerra)

