salve sto studiando per un esame di controlli automatici, in particolare devo analizzare l'andamento in funzione del dominio della frequenza e non so come fare dato che con matlab sono agli inizi...
grazie per l'aiuto
Dominio della frequenza
13 messaggi
• Pagina 1 di 2 • 1, 2
0
voti
Cosa cerchi in particolare?
Matlab è solo uno strumento, non è la teoria, che dovresti studiare.
I criteri per la stabilità e risposta li hanno sviluppati negli anni '30 Bode e Nyquist quando non esistevano i calcolatori numerici e le risposte in frequenza si calcolavano anche in modo grafico.
Matlab è solo uno strumento, non è la teoria, che dovresti studiare.
I criteri per la stabilità e risposta li hanno sviluppati negli anni '30 Bode e Nyquist quando non esistevano i calcolatori numerici e le risposte in frequenza si calcolavano anche in modo grafico.

1
voti
Troppa fatica risolverlo.
Uno spunto: scrivi la F(s) come 10/(S x (1 + S/20)^2)
Ha un polo nell'origine e due poli per S = 20 rad/s
Secondo me, la rete correttiva, al crescere della pulsazione deve avere prima uno zero poi un polo.
Forse serve anche definire un coefficiente di guadagno per pulsazione zero.
Visto che propongono 4 risposte, fai "reverse engineering" e ricava per ogni risposta i valori dello zero e del polo.
Forse altri ti aiuteranno meglio. Auguri per l'esame

Uno spunto: scrivi la F(s) come 10/(S x (1 + S/20)^2)
Ha un polo nell'origine e due poli per S = 20 rad/s
Secondo me, la rete correttiva, al crescere della pulsazione deve avere prima uno zero poi un polo.
Forse serve anche definire un coefficiente di guadagno per pulsazione zero.
Visto che propongono 4 risposte, fai "reverse engineering" e ricava per ogni risposta i valori dello zero e del polo.
Forse altri ti aiuteranno meglio. Auguri per l'esame

0
voti
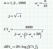
g.schgor ha scritto:Puoi tracciare Bode sostituendo ad s:(con n da 1 a 1000 e
)
Puoi così verificare le varie risposte.
il problema è che non riesco ad assegnare la funzione, avendo scritto:
f(j*wn)=4000/(j*wn*(j*wn+20)^2)
ed avendo provato sia n come intervallo che come vettore mi da quest'errore:
Incorrect dimensions for raising a matrix to a power. Check that the matrix is square and the power is a scalar. To perform elementwise matrix powers, use '.^'.
in realtà ho anche provato a vedere la F(s) e tracciare nichols ma non so se è la stessa cosa
1
voti
Aggiungendo R (risp n.4=C2) si ottengono i diagrammi di C1 (verde), C2 (blu)
e il loro prodotto C (rosso):
(n=230) riulta il valore di taglio
con margine di fase di 30° cdd.
e il loro prodotto C (rosso):
(n=230) riulta il valore di tagliocon margine di fase di 30° cdd.
13 messaggi
• Pagina 1 di 2 • 1, 2
Torna a Programmi applicativi: simulatori, CAD ed altro
Chi c’è in linea
Visitano il forum: Google [Bot] e 4 ospiti

Elettrotecnica e non solo (admin)
Un gatto tra gli elettroni (IsidoroKZ)
Esperienza e simulazioni (g.schgor)
Moleskine di un idraulico (RenzoDF)
Il Blog di ElectroYou (webmaster)
Idee microcontrollate (TardoFreak)
PICcoli grandi PICMicro (Paolino)
Il blog elettrico di carloc (carloc)
DirtEYblooog (dirtydeeds)
Di tutto... un po' (jordan20)
AK47 (lillo)
Esperienze elettroniche (marco438)
Telecomunicazioni musicali (clavicordo)
Automazione ed Elettronica (gustavo)
Direttive per la sicurezza (ErnestoCappelletti)
EYnfo dall'Alaska (mir)
Apriamo il quadro! (attilio)
H7-25 (asdf)
Passione Elettrica (massimob)
Elettroni a spasso (guidob)
Bloguerra (guerra)



(con n da 1 a 1000 e
)
