Cos'è ElectroYou | Login Iscriviti

ElectroYou - la comunità dei professionisti del mondo elettrico

calcolo risposta impulsiva

Telefonia, radio, TV, internet, reti locali...comandi a distanza

Moderatore: Foto Utentejordan20

0
voti

[1] calcolo risposta impulsiva

Messaggioda Foto Utentesmeligrana » 26 gen 2022, 19:01

Ciao ho il seguente esercizio
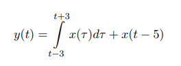
Dato il sistema
y(t)=\int_{t-3}^{t+3}x(\tau) d\tau+x(t-5)
mi viene chiesto di calcolarne la risposta impulsiva.

pensavo di procedere nel seguente modo
visto che mi viene chiesto di calcolare h(t) e per definizione so che
y(t)=x(t)*h(t) dove con * indico la convoluzione
sapendo che \delta(t) di dirac è l'elemento unitario della convoluzione potrei applicare all'ingresso proprio \delta(t) e quindi otterrei
h(t)=\int_{t-3}^{t+3}\delta(\tau) d\tau+\delta(t-5)

secondo voi ha senso questo modo di procedere ?

Grazie per l'aiuto
Avatar utente
Foto Utentesmeligrana
95 6
New entry
New entry
 
Messaggi: 72
Iscritto il: 5 apr 2021, 20:58

0
voti

[2] Re: calcolo risposta impulsiva

Messaggioda Foto Utentegvee » 26 gen 2022, 22:20

Ciao,

L' uscita y(t) è proprio definita così ?
Puoi postare il testo dell'esercizio ?

O_/
Avatar utente
Foto Utentegvee
1.470 5 7
Sostenitore
Sostenitore
 
Messaggi: 525
Iscritto il: 11 feb 2018, 20:34

0
voti

[3] Re: calcolo risposta impulsiva

Messaggioda Foto Utentesmeligrana » 27 gen 2022, 7:56

riporto lo screenshoot della traccia, mi sembra corretta la mia trascrizione
Allegati
immagine_2022-01-27_065613.png
immagine_2022-01-27_065613.png (4.31 KiB) Osservato 7845 volte
Avatar utente
Foto Utentesmeligrana
95 6
New entry
New entry
 
Messaggi: 72
Iscritto il: 5 apr 2021, 20:58

0
voti

[4] Re: calcolo risposta impulsiva

Messaggioda Foto UtenteGioArca67 » 27 gen 2022, 9:38

Riporta tutto il testo dell'esercizio.
Scrivi la definizione di risposta impulsiva e la definizione di convoluzione.
Stai facendo segnali o sistemi?
Avatar utente
Foto UtenteGioArca67
4.565 4 6 9
Master EY
Master EY
 
Messaggi: 4588
Iscritto il: 12 mar 2021, 9:36

0
voti

[5] Re: calcolo risposta impulsiva

Messaggioda Foto UtenteMarcoD » 27 gen 2022, 11:18

Non sono più competente, o lo sempre stato il minimo necessario per superare l'esame di teoria delle comunicazioni elettriche o dei segnali.
Mi espongo alla possibilità di fare una magra figura :oops: Rispondo più per mettere alla prova i miei ricordi che per aiutare:

Il sistema è lineare ?
se si, la risposta y(t) è la somma della risposta dell'integrale e della altra espressione.
L'integrale di una delta di Dirac è un gradino unitario?
Che l'integrale della delta parta da t=-3 a t+3 o da altri valori numerici è irrilevante per il risultato.
Quindi la risposta è un gradino al tempo t più una delta di Dirac ritardata del tempo 5.
Quanto sono andato vicino ? :-)
Avatar utente
Foto UtenteMarcoD
12,2k 5 9 13
Master EY
Master EY
 
Messaggi: 6696
Iscritto il: 9 lug 2015, 16:58
Località: Torino

1
voti

[6] Re: calcolo risposta impulsiva

Messaggioda Foto UtenteGioArca67 » 27 gen 2022, 14:18

MarcoD ha scritto:Il sistema è lineare ?
se si, la risposta y(t) è la somma della risposta dell'integrale e della altra espressione.

Vediamo che dice l'OP, deve pur lavorare un po'...

MarcoD ha scritto:L'integrale di una delta di Dirac è un gradino unitario?
Che l'integrale della delta parta da t=-3 a t+3 o da altri valori numerici è irrilevante per il risultato.

L'integrale della delta di Dirac è o l'area se essa cade entro gli estremi di integrazione, o 0 altrimenti: nel caso in esame quindi vale 1 quando t>-3 e t<3 altrimenti 0, quindi è una rect(t/6).
Avatar utente
Foto UtenteGioArca67
4.565 4 6 9
Master EY
Master EY
 
Messaggi: 4588
Iscritto il: 12 mar 2021, 9:36

0
voti

[7] Re: calcolo risposta impulsiva

Messaggioda Foto Utentesmeligrana » 27 gen 2022, 19:13

Pensavo di applicare i seguenti passaggi
estendo l'integrale tra -\infty e \infty moltiplicando per un rect_6(t)
\int_{-\infty}^\infty \delta(\tau) rect_6(t) d\tau +\delta(t-5)
a questo punto il rect lo posso portare fuori dall'integrale
rect_6(t) \int_{-\infty}^\infty \delta(\tau)d\tau +\delta(t-5)
quello che rimane dentro l'integrale vale 1 per definizione ed ottengo
h(t)=rect_6(t)+\delta(t-5)

cosa ne pensate?
Avatar utente
Foto Utentesmeligrana
95 6
New entry
New entry
 
Messaggi: 72
Iscritto il: 5 apr 2021, 20:58

0
voti

[8] Re: calcolo risposta impulsiva

Messaggioda Foto Utentesmeligrana » 27 gen 2022, 19:13

Mi sono dimenticato di dire che il sistema è LTI
Avatar utente
Foto Utentesmeligrana
95 6
New entry
New entry
 
Messaggi: 72
Iscritto il: 5 apr 2021, 20:58

0
voti

[9] Re: calcolo risposta impulsiva

Messaggioda Foto UtenteGioArca67 » 27 gen 2022, 20:23

Ancora non hai risposto alle domande
(comunque quello che hai scritto non va bene).
Avatar utente
Foto UtenteGioArca67
4.565 4 6 9
Master EY
Master EY
 
Messaggi: 4588
Iscritto il: 12 mar 2021, 9:36

0
voti

[10] Re: calcolo risposta impulsiva

Messaggioda Foto UtenteDeltaElectronics » 27 gen 2022, 20:25

smeligrana ha scritto:Ciao ho il seguente esercizio
Dato il sistema
y(t)=\int_{t-3}^{t+3}x(\tau) d\tau+x(t-5)
mi viene chiesto di calcolarne la risposta impulsiva.


Usa le trasformate di Fourier...
Se y(t) = x(t)*h(t), allora nel domino delle trasformate

Y(f) = X(f)*H(f)....
Allora H(f)=Y(f)/X(f)...
Poi anti trasformi.
Freedom is not free
Avatar utente
Foto UtenteDeltaElectronics
224 1 3 7
Sostenitore
Sostenitore
 
Messaggi: 597
Iscritto il: 27 set 2015, 14:01

Prossimo

Torna a Telecomunicazioni

Chi c’è in linea

Visitano il forum: Nessuno e 9 ospiti