Università degli studi di Trieste
Ingegneria Elettronica
Corso di Optoelettronica
del prof. Paolo Sirotti
Data: 08/06/2000, Marco Naccini
Introduzione : il microscopio a fluorescenza
La moderna tecnologia dei microscopi usa la microscopia a fluorescenza. Il campione da analizzare, costituito principalmente da organismi viventi come cellule, batteri o tessuti, contiene una sostanza detta fluoroforo, la quale può essere già presente nel campione da analizzare (possono fare da fluorofori delle proteine oppure dei neurotrasmettitori), oppure venir immessa dall'esterno. Tale sostanza viene colpita ed eccitata da luce laser, quindi emettere a sua volta luce per fluorescenza.
Nelle tecniche tradizionali il laser emette
generalmente nel visibile (blu) e nel UV in modo continuo, viene
fatto passare in un foro sottile (pinhole) e focalizzato in un punto
del campione da osservare. Essendo la lunghezza d'onda
sufficientemente corta, ogni molecola di fluoroforo che viene colpita
da un fotone viene eccitata ed emette, e quindi nel fuoco e nei sui
pressi si ha fluorescenza. La lunghezza d'onda del laser eccitatore
deve essere circa da 50 a 200 nm più corta della luce emessa
dal fluoroforo, perchè il fotone incidente deve fornire
energia in più. Per esempio un fluoroforo può assorbire
a 360 nm (nel ultravioletto) ed emettere a 450 nm, cioè nel
verde blu.
Il punto in cui viene focalizzato il laser diventa quindi luminoso
per fluorescenza. Facendo scorrere il punto lungo un piano o
addirittura in un volume si riesce a ricostruire l'immagine del
campione per sezioni o in tre dimensioni.
Risultano molteplici le limitazioni di questo sistema di eccitazione.
In primo luogo si ha che l'eccitazione del fluoroforo non avviene solo nel fuoco,
dove la potenza del laser è concentrata, ma anche prima e dopo il piano
focale, nel cono che forma il laser focalizzandosi (vedi figura 3 in alto).
Ciò genera della fluorescenza indesiderata anche nei pressi del fuoco,
in parte eleminata dal pinhole, sovrapponendo al segnale utile del rumore, riducendo
cioè il rapporto segnale rumore e quindi la risoluzione. Risulata particolarmente
limitata la scansione in profondità dei campioni e le scansioni in 3
dimensioni. inoltre il laser nell'ultravioletto possono essere dannosi e tossici
per il campione, essendo materiale organico. L'effetto del laser a UV è
quello di fototossicità e fotodecadimento (sbiancameto del campione).Ciò
riduce il tempo di osservazione del campione.
|
|
| Figura 1 - Due modi per portare
allo stato eccitato una molecola di fluoroforo: |
|
|
|
Figura 2 - Rappresentazione del punto di eccitazione del fluoroforo con il metodo dei due fotoni : coincide con il fuoco |
La nuova tecnica detta a 2 fotoni, messa a
punto nei laboratori dell' Università di Cornell in Ithaca, si
basa sul principio che prevede la possibilità, l'evento
quantistico, in cui due fotoni giungono simultaneamente sulla
molecola di fluoroforo. Se questo evento si verifica e i due fotoni
hanno in totale energia sufficiente a portare la molecola allo stato
eccitato, si può avere lo stesso effetto dell'eccitazione che
si otterebbe con un singolo fotone con la stessa energia.
Questo processo è schematizzato in figura 1. Prima un singolo
fotone di lunghezza d'onda nel visibile o nell'ultravioletto, da solo
era in grado di portare allo stato eccitato, perchè possedeva
energia (E=h v) sufficiente, ora con questa tecnica un fotone di
lunghezza d'onda doppia, cioè nell'infrarosso, arriva sulla
molecola e porta la molecola in uno stato proibito, posto a circa
metà tra i due stati concessi. Questa situazione
quantisticamente si traducerebbe in un rapido ritorno allo stato
originario senza emissione, se non si considera che il laser
(all'infrarosso) lavori con impulsi ultrabrevi di elevata potenza, e
l'elevata concetrazione luminosa nel fuoco ottenibile con un
obbiettivo ad alta apertura numerica, si ha la possibilità che
al primo fotone segua entro un intervallo di tempo brevissimo,
dell'ordine dei femtosecondi, un altro fotone che porti la molecola
dal semi-stato proibito allo stato eccitato permesso, cioè
fare lo stesso procedimento di un fotone ad alta energia con due
fotoni a metà energia purchè ciò avvenga in
tempi brevi. Il processo è raffigurato in figura 1.
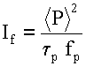
Per un laser ad impulsi ultrabrevi, con impulsi di durata dell'ordine dei 100 fs, con frequenza di ripetizione di 80 MHz, per un certo fluoroforo, la probabilità che un certo fluoroforo assorba simultaneamente due fotoni utili al salto energetico per emettere fluorescenza segue la seguente legge empirica :
|
|
Formula 1 |
dove
| d |
è detta "sezione d'urto" ed è un parametro specifico del fluoroforo |
| <P>2 |
è la potenza media del laser |
| fp |
è la frequenza degli impulsi |
| tp |
è la durata di ogni singolo impulso |
| NA |
apertura numerica, parametro caratteristico del sistema di lenti che focalizzano il laser |
L'intensità luminosa della fluorescenza segue legge quadratica rispetto all'intensità della luce laser incidente e decresce in modo quadratico con la distanza dal punto focale, secondo la legge
|
|
Formula 2 |
Con questa legge si capisce che la fluorescenza è presente praticamente solo nel fuoco e non sopra e sotto il piano focale, perchè l'intensità luminosa descrescendo in modo quadratico con la distanza dal fuoco, risulta insufficiente. Si può avere un idea osservando la foto di figura 3, dove nella parte alta si ha l'eccitazione con un sistema a fotone singolo, e si vede che la fluorescenza si trova prima e dopo il fuoco, mentre nella parte bassa con eccitazione a fotone multiplo la fluorescenza è visibile solo in un punto.
|
|
|
Figura 3 - Esempio di eccitazione fluoroforo (in alto) sistema a fotone singolo (in basso) sistema a fotone multiplo |
In questo modo si ottiene meno fluorescenza
di fondo, un maggior rapporto segnale rumore togliendo la
necessità di usare l'apertura confocale per eliminare la
fluorescenza indesiderata, con un conseguente miglioramento della
risoluzione sia nelle sezioni che nelle scansioni a 3 o 4 dimensioni
(3 spaziali più il tempo). Si
può confrontare la differenza delle immagini ottenute da uno
stesso campione usando i due metodi differenti osservando la figura
4: si vede la netta differenza tra la parte alta e la parte bassa,
nel secondo caso in cui sono meglio definiti i contorni e si
distinguono certi particolari che prima non erano visibili.
Usando inoltre radiazioni infrarosse si hanno minori effetti di
fototossicità e sbiancamento dei tessuti (fotodecadimento).
Riducendosi l'assorbimento della radiazione incidente e non essendoci
la necessità del pinhole, si ha la possibilità di
eseguire scansioni a porfondità maggiori.
|
|
|
|
|
Figura 4 - Embrione di drosofile ottenute con la tecnica di microscopia confocale a un fotone (sinistra) e a due fotoni (destra) |
E' stato sperimentato un microscopio a due fotoni presso il Laboratorio di Fisica dei Biosistemi del Dipartimento di Fisica dell'Università di Genova da A.Diaspro e M.Robello. Il sistema laser adottato è costituito dal un laser allo stato solido Tsunami titanio-zaffiro mode-locked (potenza > 2W) e da una pompa laser Millenia V da 5W, sistemi della Spectra-Physics (indirizzo Web: http://www.splasers.com), di cui si può vedere la foto in figura 5.
|
|
|
Figura 5 - Laser Tsunami mode-loked al Ti:zaffiro |
|
|
|
Figura 6 - andamento della potenza di uscita del laser al Ti:zaffiro in funzione della lunghezza d'onda |
Il laser viene convogliato con un sistema di specchi in un PCM2000 della Nikon (indirizzo Web : http://www.nikonusa.com/products) dotato di obiettivo 100x e apertura numerica 1.3 in olio Nikon abbinato ad un microscopio Nikon TE300 con obiettivo 100x e 1.4 di apertura numerica, in olio.
Il PCM2000, che è stato costruito per le scansioni con laser singolo, è un congegno contiene il sistema di scansione del laser in ingresso, e tramite una copia di fotomoltiplicatori raccoglie la fluorescenza di ritorno dal campione. Contiene anche una parte di elettronica di controllo del sistema, di amplificazione e condizionamento dei segnali dei fotomoltiplicatori e di interfaccia con un PC. Tramite un apposito software sul PC (che come requisiti minimi richiede un Pentium II MMX a 500 MHz, 64 Mbyte di ram, una scheda grafica SVGA, un monitor da 17'), si può visualizzare le immagini raccolte dal PCM2000, controllare il PCM2000 stesso. Con lo stesso PC si può anche controllare la frequenza di ripetizione degli impulsi del laser Tzunami per poter sincronizzare la scansione del campione.
Si può vedere lo schema del sistema adottato da A.Diaspro e M.Robello nel laboratorio dell'Università di Genova citato sopra e raffigurato in figura 7. In figura 8 si può vedere il microscopio confocale a fluorescenza della Nikon e usato nella prova al laboratorio di Genova, dotato di microscopio TE300 e PCM2000.
|
|
|
Figura 7 - Schema semplificato del sistema di microscopio a multifotoni realizzato presso il Laboratorio di Fisica dei Biosistemi del Dipartimento di Fisica dell'Università di Genova da A.Diaspro e M.Robello |

Figura 8 - Sistema di microscopia confocale a fluorescenza costituito da un microscopio TE300 e sistema di scandione PCM2000 (congegno nero a fianco del microscopio)

Figura 9 - Microscopio a fluorescenza a multifotone Radiance 2000 della Bio-Rad
La tecnica è recente ma esistono già dei microscopi a multifotoni commerciali come ad esempio il Radiance 2000 della Bio-Rad e rappresentato il figura 9 (http://microscopy.bio-rad.com/Products/rts2000.htm). In esso il laser fornito può essere a lunghezza fissa come quello della Coherent/Microlase Bio Light DPM1000 a 1047 nm, a lunghezza accordabile entro un range stretto come il laser della Spectra Physics Mai Tai 750-850 nm oppure un laser accordabile entro un range ampio come lo Spectra Physics Tsunami/Millenia 690-1050 nm. Il sistema è dotato di sistemi automatici per l'allineamento, la collimazione, il controllo della potenza del raggio, filtri.
Uno dei problemi di questi sistemi, stava nel fatto che la lunghezza d'onda del laser non è facilmente accordabile, nonostante che il Ti:zaffiro abbia una larghezza di banda di uscita compresa tra i 700 e i 1000 nm (vedi spettro in figura 6). Per l'osservazione di un campione può essere molto utile cambiare spesso la lunghezza d'onda per mettere in evidenza certi particolari del campione, sfruttando la fluorescenza di una sostanza piuttosto che un'altra (un proteina, un neurotrasmettitore, ecc.) , che hanno diverse lunghezza d'onda di eccitazione. Inizialmente per piccole variazioni della lunghezza d'onda (comprese entro i 120 nm) il laser al Ti:zaffiro era facilmente accordabile, e l'operazione richiedeva qualche minuto, ma per variazioni maggiori era necessario cambiare gli specchi della cavità ottica, aggiustare le ottiche (costituita da prismi) di compensazione della dispersione, e allineare tutto con le ottiche del microscopio. Questa operazione poteva durare ore a seconda dell'esperienza dell'operatore.
Per semplificare la fase di accordatura del
laser per queste applicazioni, fin dall'inizio, si era pensato di
usare specchi dielettrici costituiti da diversi strati di materiale
trasmissivo, ma con indice di rifrazione diverso, in modo che
nell'interfaccia tra i due mezzi, per certe lunghezza d'onda ci sia
riflessione, e per una i particolare si avrebbe avuto interferenza
costruttiva. Purtroppo però il Ti:zaffiro è un mezzo a
basso guadagno mentre la potenza impulsiva può superare il MW
e quindi è necessario avere una buona riflessività
degli specchi in buona parte dello spettro. Per fare ciò si
dovrebbe aumentare il numero di strati di materiali diversi, cosa che
comporterebbe un alta dispersione e una distorsione della
velocità di gruppo "stirando" l'impulso laser. Siccome queste
distorsioni possono essere non lineari non era possibile correggere
perfettamente questi diffetti per tutto lo spettro, da 700 a 1000 nm,
con l'utilizzo di una sequenza di prismi, che ad ogni variazione di
lunghezza d'onda bisognava aggiustarne la disposizione
geometrica.
In seguito è stata raggiunta una soluzione giocando sui
materiali, gli spessori e i processi di produzione degli specchi
permettendo di ottenere la facilità di accordare in pochi
minuti il laser a tutta la gamma di lunghezze d'onda dello spettro
usando due manopole micrometriche che regolano distanza degli specchi
e il sistema di prismi che servono a correggere la dispersione della
velocità di gruppo. Tutto ciò avviene con un minimo
spostamento del raggio laser dalla posizione originale, limitando
quindi le operazioni ci centratura del raggio con le ottiche dei
microscopi.
Riferimenti :
[1] MICROSCOPIA IN FLUORESCENZA CON
ECCITAZIONE A DUE FOTONI - indirizzo Web : http://192.107.72.139/gic/lett-gic/lg5-3/2foton.html
a cura di A.Diaspro (diaspro@fisica.unige.it) e M.Robello
(robello@ge.infm.it)
[2] BIOFOTONICS International - rivista specializzata -
Luglio-Agosto 1999 - articolo "Multiphoton Microscopy Broadens Its
Reach"

Elettrotecnica e non solo (admin)
Un gatto tra gli elettroni (IsidoroKZ)
Esperienza e simulazioni (g.schgor)
Moleskine di un idraulico (RenzoDF)
Il Blog di ElectroYou (webmaster)
Idee microcontrollate (TardoFreak)
PICcoli grandi PICMicro (Paolino)
Il blog elettrico di carloc (carloc)
DirtEYblooog (dirtydeeds)
Di tutto... un po' (jordan20)
AK47 (lillo)
Esperienze elettroniche (marco438)
Telecomunicazioni musicali (clavicordo)
Automazione ed Elettronica (gustavo)
Direttive per la sicurezza (ErnestoCappelletti)
EYnfo dall'Alaska (mir)
Apriamo il quadro! (attilio)
H7-25 (asdf)
Passione Elettrica (massimob)
Elettroni a spasso (guidob)
Bloguerra (guerra)